Официальное опубликование правовых актов
ОФИЦИАЛЬНОЕ ОПУБЛИКОВАНИЕ
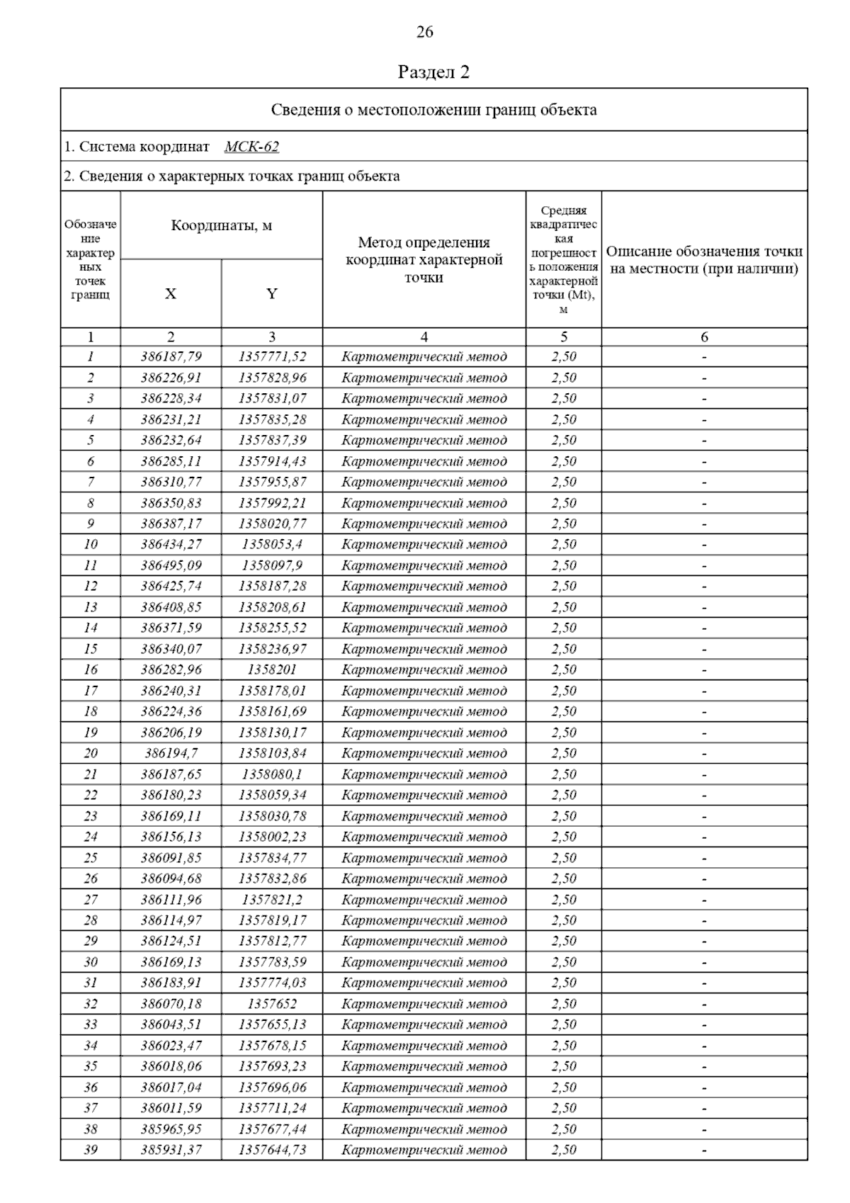
Постановление Главного управления архитектуры и градостроительства Рязанской области от 24.08.2023 № 379-п
"Об утверждении генерального плана муниципального образования – Мелекшинское сельское поселение Старожиловского муниципального района Рязанской области"
(Зарегистрирован 25.08.2023 № 695)
Номер опубликования: 6201202308280006
Дата опубликования: 28.08.2023
Страница №38 из 100:
Увеличить