Официальное опубликование правовых актов
ОФИЦИАЛЬНОЕ ОПУБЛИКОВАНИЕ
Постановление Главного управления архитектуры и градостроительства Рязанской области от 24.08.2023 № 378-п
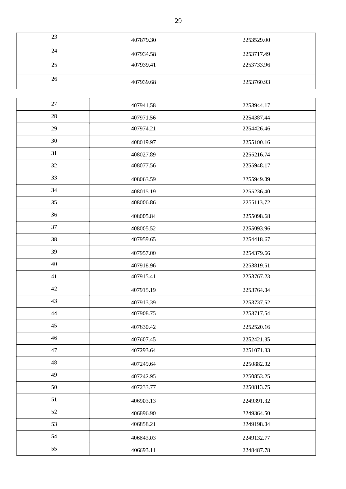
"Об утверждении документации по планировке территории по объекту: «Техническое перевооружение ВЛ-110 кВ Шилово — Н. Мальцево (2-х цепная) с заменой опор, провода, сцепной арматуры и изоляции 11,26 км в пролетах №№ 195-305. Реконструкция участка в пролетах опор №№ 194-305»"
(Зарегистрирован 25.08.2023 № 694)
Номер опубликования: 6201202308280007
Дата опубликования: 28.08.2023
Страница №31 из 35:
Увеличить