Официальное опубликование правовых актов
ОФИЦИАЛЬНОЕ ОПУБЛИКОВАНИЕ
Постановление Главного управления архитектуры и градостроительства Рязанской области от 24.08.2023 № 377-п
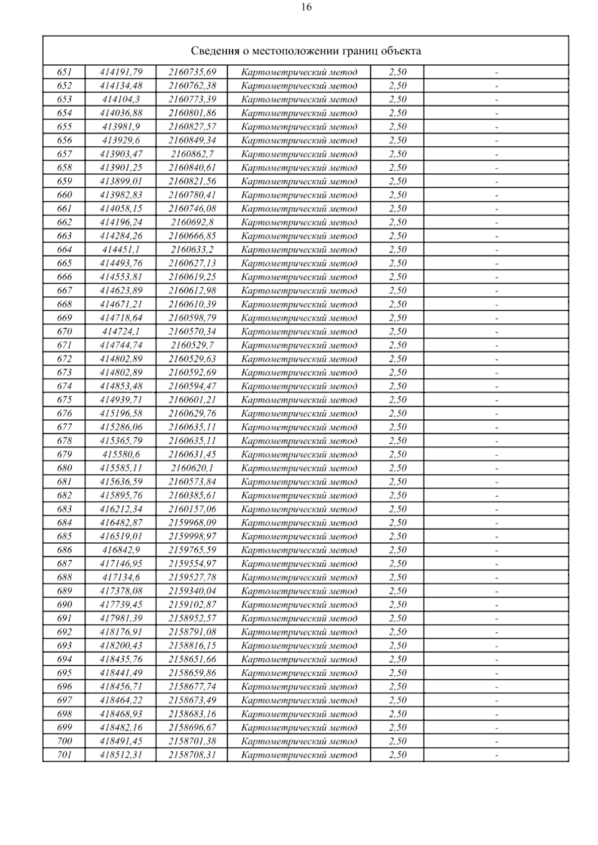
"Об утверждении изменений в правила землепользования и застройки муниципального образования – Собчаковское сельское поселение Спасского муниципального района Рязанской области"
(Зарегистрирован 25.08.2023 № 693)
Номер опубликования: 6201202308280008
Дата опубликования: 28.08.2023
Страница №19 из 106:
Увеличить