Официальное опубликование правовых актов
ОФИЦИАЛЬНОЕ ОПУБЛИКОВАНИЕ
Постановление Главного управления архитектуры и градостроительства Рязанской области от 29.08.2023 № 394-п
"Об утверждении генерального плана муниципального образования – Ильинское сельское поселение Скопинского муниципального района Рязанской области"
(Зарегистрирован 30.08.2023 № 720)
Номер опубликования: 6201202308310009
Дата опубликования: 31.08.2023
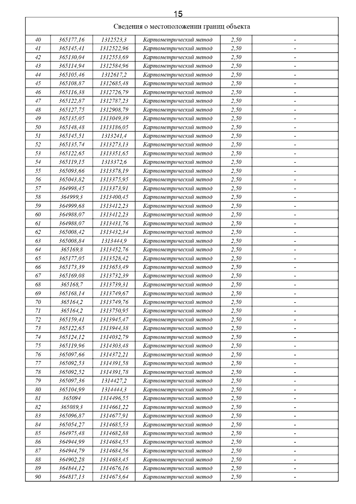
Страница №25 из 57:
Увеличить