Официальное опубликование правовых актов
ОФИЦИАЛЬНОЕ ОПУБЛИКОВАНИЕ
Постановление Главного управления архитектуры и градостроительства Рязанской области от 05.09.2023 № 401-п
"Об утверждении правил землепользования и застройки муниципального образования – Завидовское сельское поселение Чучковского муниципального района Рязанской области"
(Зарегистрирован 05.09.2023 № 732)
Номер опубликования: 6201202309080003
Дата опубликования: 08.09.2023
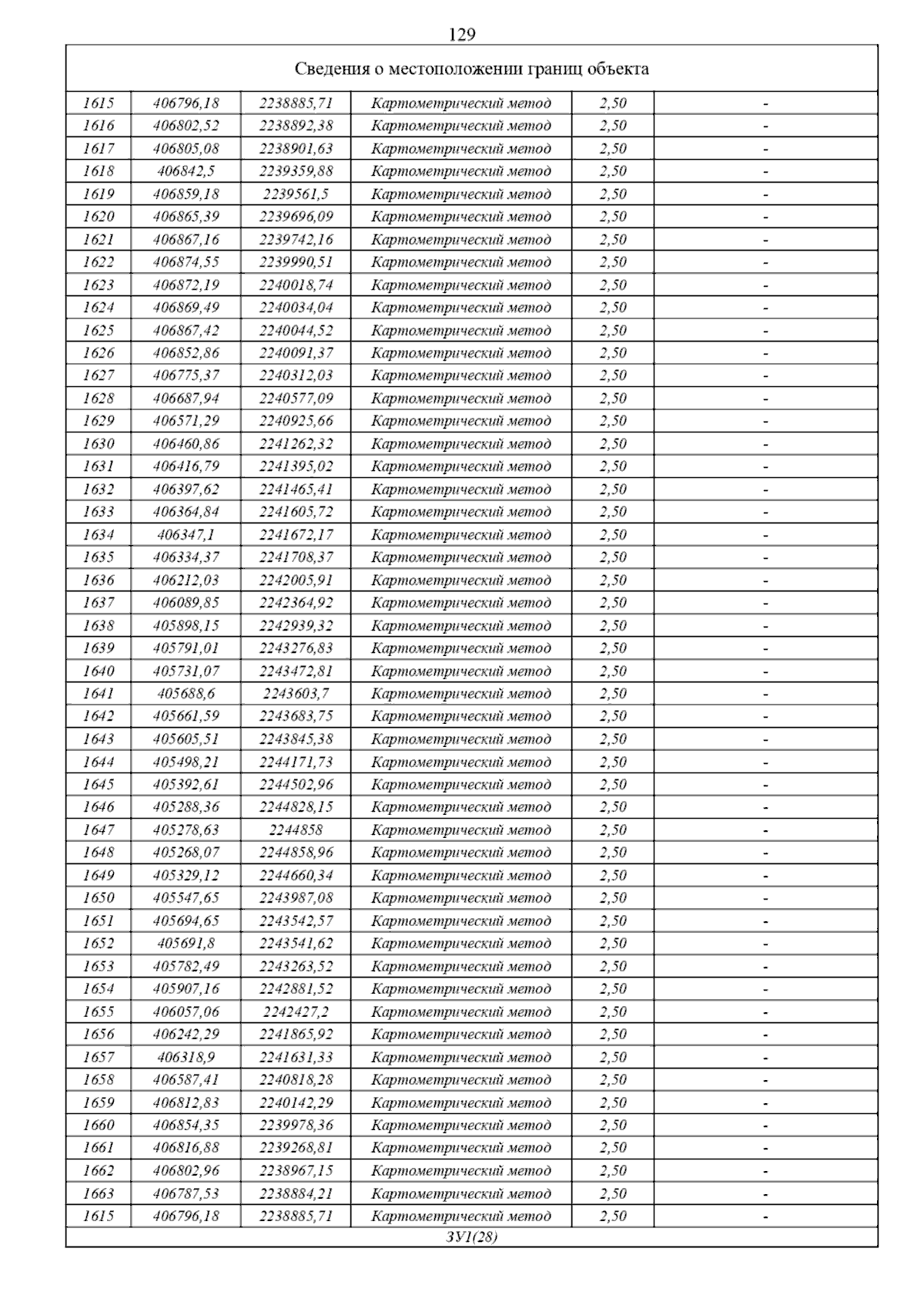
Страница №161 из 229:
Увеличить