Официальное опубликование правовых актов
ОФИЦИАЛЬНОЕ ОПУБЛИКОВАНИЕ
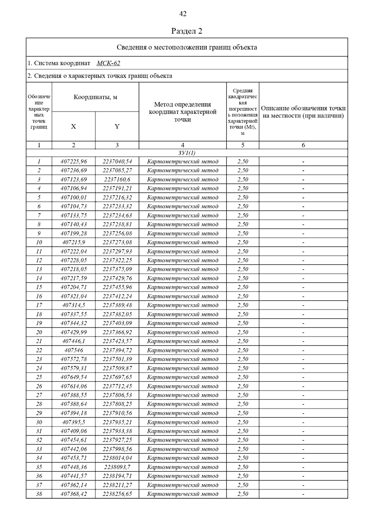
Постановление Главного управления архитектуры и градостроительства Рязанской области от 05.09.2023 № 400-п
"Об утверждении генерального плана муниципального образования – Завидовское сельское поселение Чучковского муниципального района Рязанской области"
(Зарегистрирован 05.09.2023 № 731)
Номер опубликования: 6201202309080006
Дата опубликования: 08.09.2023
Страница №54 из 91:
Увеличить