Официальное опубликование правовых актов
ОФИЦИАЛЬНОЕ ОПУБЛИКОВАНИЕ
Постановление Главного управления архитектуры и градостроительства Рязанской области от 06.09.2023 № 402-п
"Об утверждении изменений в генеральный план муниципального образования – Агишевское сельское поселение Шацкого муниципального района Рязанской области"
(Зарегистрирован 07.09.2023 № 733)
Номер опубликования: 6201202309110002
Дата опубликования: 11.09.2023
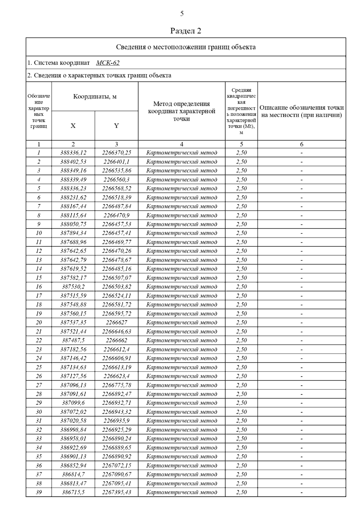
Страница №15 из 71:
Увеличить