Официальное опубликование правовых актов
ОФИЦИАЛЬНОЕ ОПУБЛИКОВАНИЕ
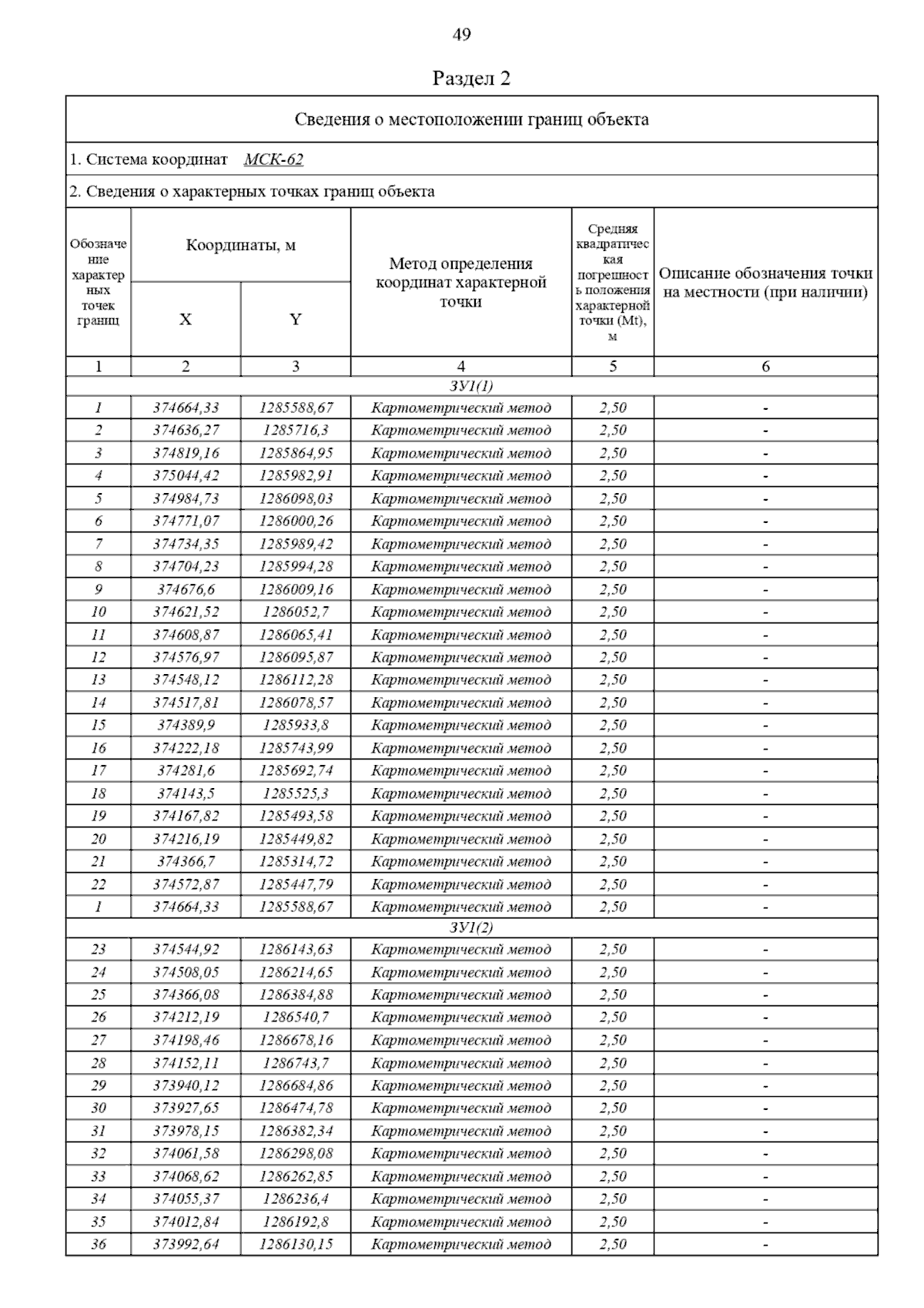
Постановление Главного управления архитектуры и градостроительства Рязанской области от 08.09.2023 № 418-п
"Об утверждении правил землепользования и застройки муниципального образования – Грязновское сельское поселение Михайловского муниципального района Рязанской области"
(Зарегистрирован 11.09.2023 № 752)
Номер опубликования: 6201202309130018
Дата опубликования: 13.09.2023
Страница №84 из 291:
Увеличить