Официальное опубликование правовых актов
ОФИЦИАЛЬНОЕ ОПУБЛИКОВАНИЕ
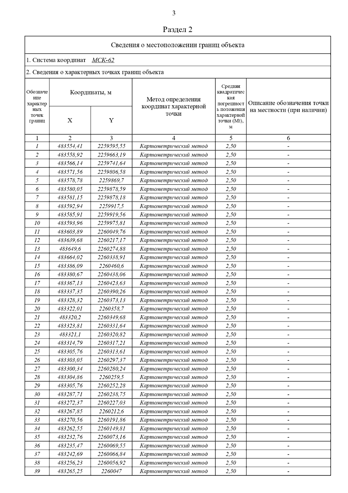
Постановление Главного управления архитектуры и градостроительства Рязанской области от 22.09.2023 № 454-п
"Об утверждении генерального плана муниципального образования – Которовское сельское поселение Касимовского муниципального района Рязанской области"
(Зарегистрирован 25.09.2023 № 794)
Номер опубликования: 6201202309270014
Дата опубликования: 27.09.2023
Страница №13 из 51:
Увеличить