Официальное опубликование правовых актов
ОФИЦИАЛЬНОЕ ОПУБЛИКОВАНИЕ
Постановление Главного управления архитектуры и градостроительства Рязанской области от 27.09.2023 № 465-п
"Об утверждении изменений в генеральный план муниципального образования – Сараевское городское поселение Сараевского муниципального района Рязанской области"
(Зарегистрирован 28.09.2023 № 812)
Номер опубликования: 6201202310010003
Дата опубликования: 01.10.2023
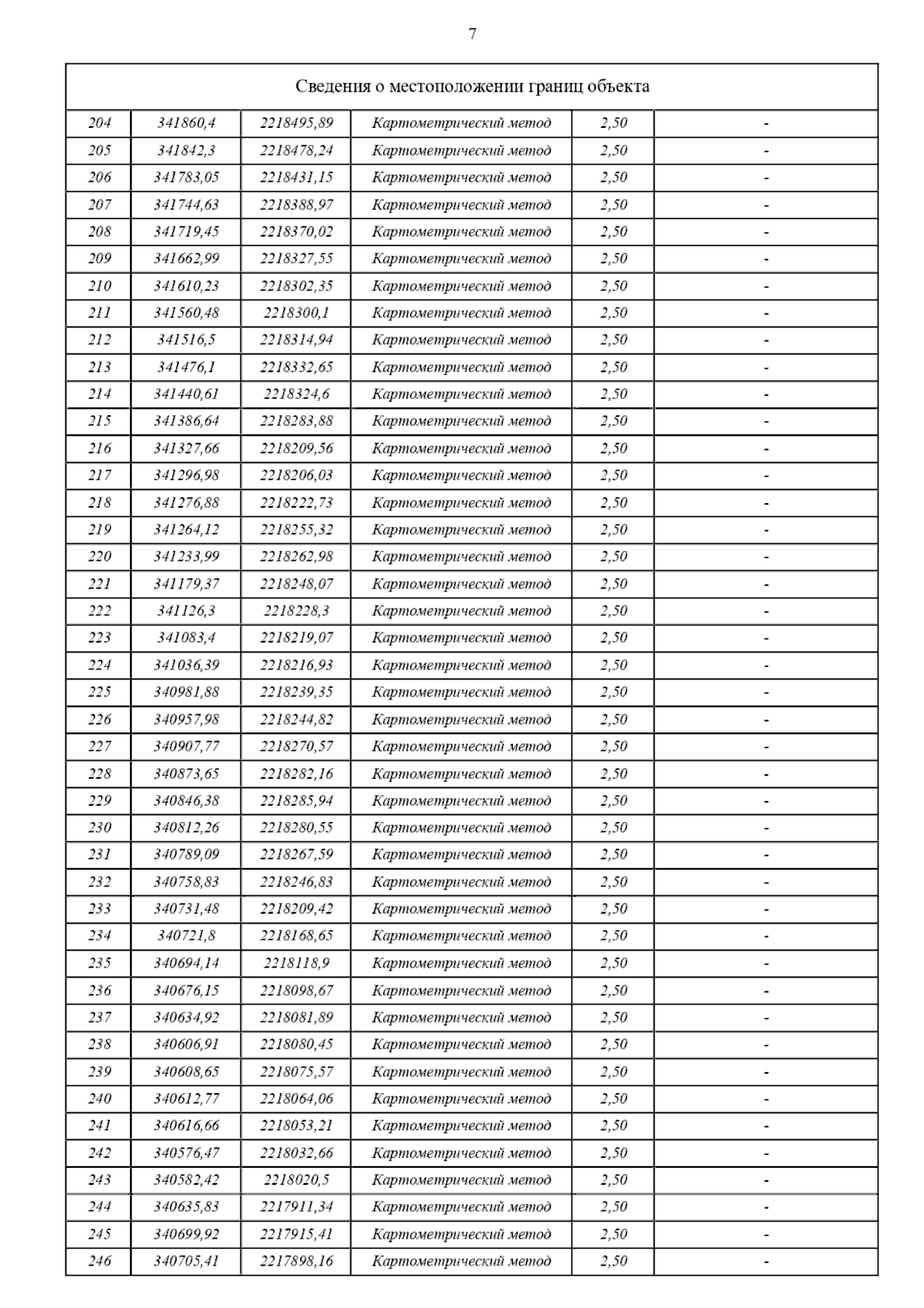
Страница №12 из 23:
Увеличить