Официальное опубликование правовых актов
ОФИЦИАЛЬНОЕ ОПУБЛИКОВАНИЕ
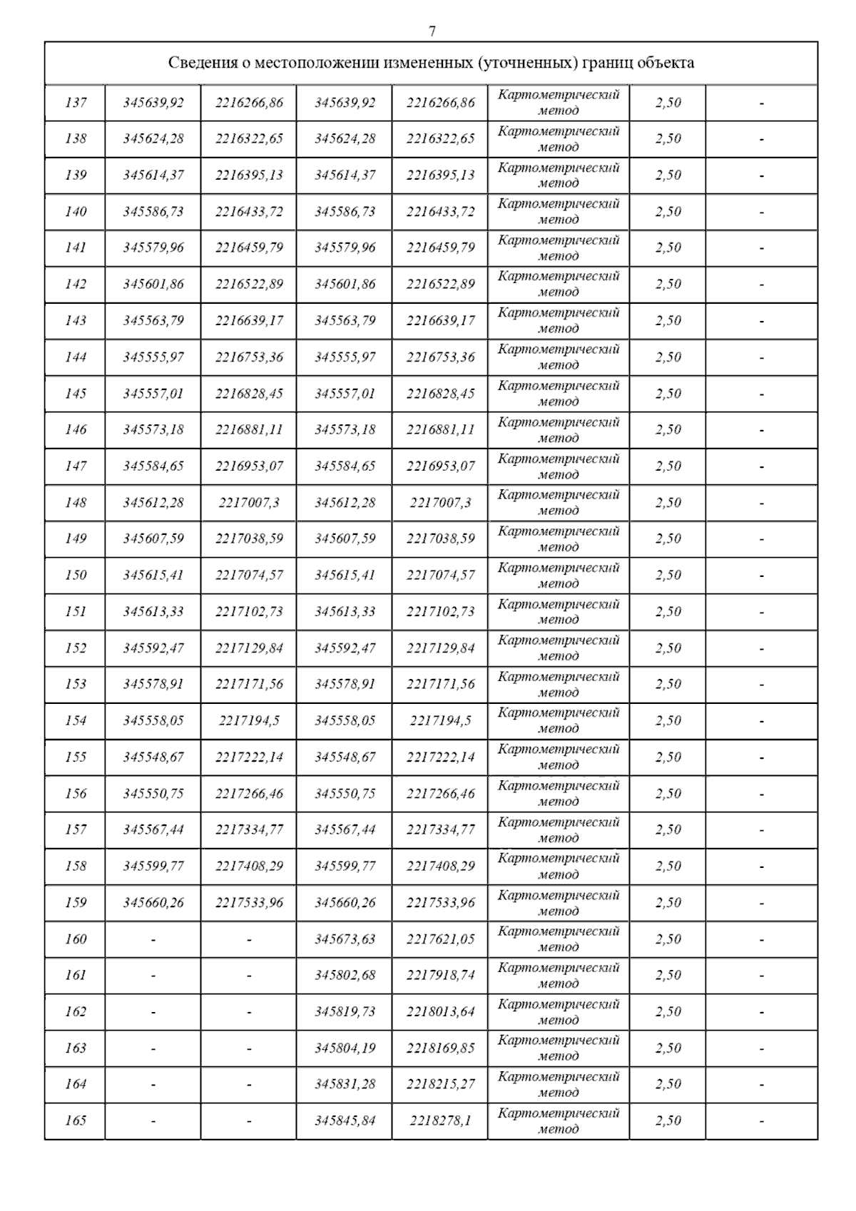
Постановление Главного управления архитектуры и градостроительства Рязанской области от 27.09.2023 № 466-п
"Об утверждении изменений в правила землепользования и застройки муниципального образования – Сараевское городское поселение Сараевского муниципального района Рязанской области"
(Зарегистрирован 28.09.2023 № 813)
Номер опубликования: 6201202310010004
Дата опубликования: 01.10.2023
Страница №97 из 138:
Увеличить