Официальное опубликование правовых актов
ОФИЦИАЛЬНОЕ ОПУБЛИКОВАНИЕ
Постановление Главного управления архитектуры и градостроительства Рязанской области от 27.09.2023 № 464-п
"Об утверждении изменений в правила землепользования и застройки муниципального образования – Малинищинское сельское поселение Пронского муниципального района Рязанской области"
(Зарегистрирован 28.09.2023 № 811)
Номер опубликования: 6201202310010005
Дата опубликования: 01.10.2023
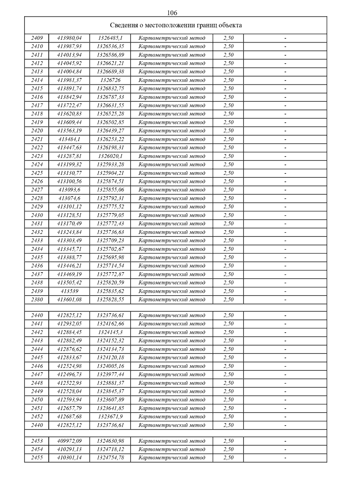
Страница №138 из 159:
Увеличить