Официальное опубликование правовых актов
ОФИЦИАЛЬНОЕ ОПУБЛИКОВАНИЕ
Постановление Главного управления архитектуры и градостроительства Рязанской области от 27.09.2023 № 463-п
"Об утверждении генерального плана муниципального образования – Малинищинское сельское поселение Пронского муниципального района Рязанской области"
(Зарегистрирован 28.09.2023 № 810)
Номер опубликования: 6201202310010006
Дата опубликования: 01.10.2023
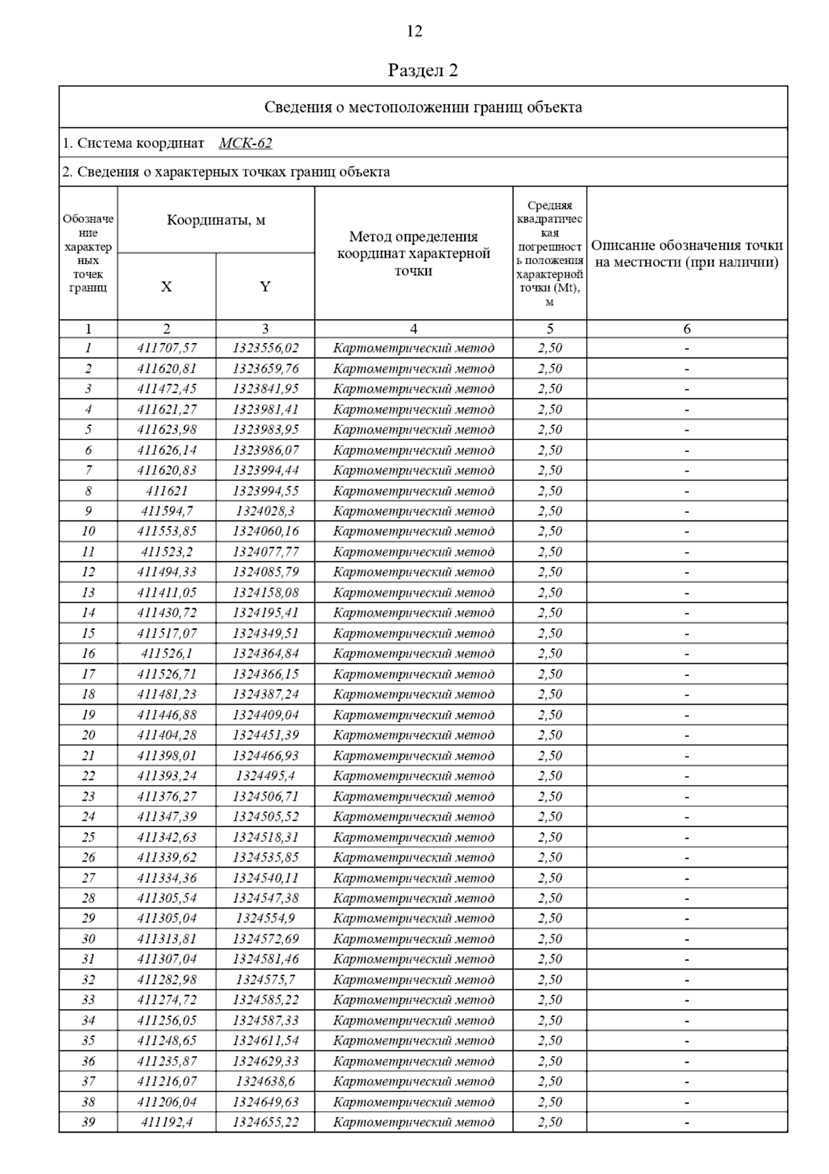
Страница №23 из 37:
Увеличить