Официальное опубликование правовых актов
ОФИЦИАЛЬНОЕ ОПУБЛИКОВАНИЕ
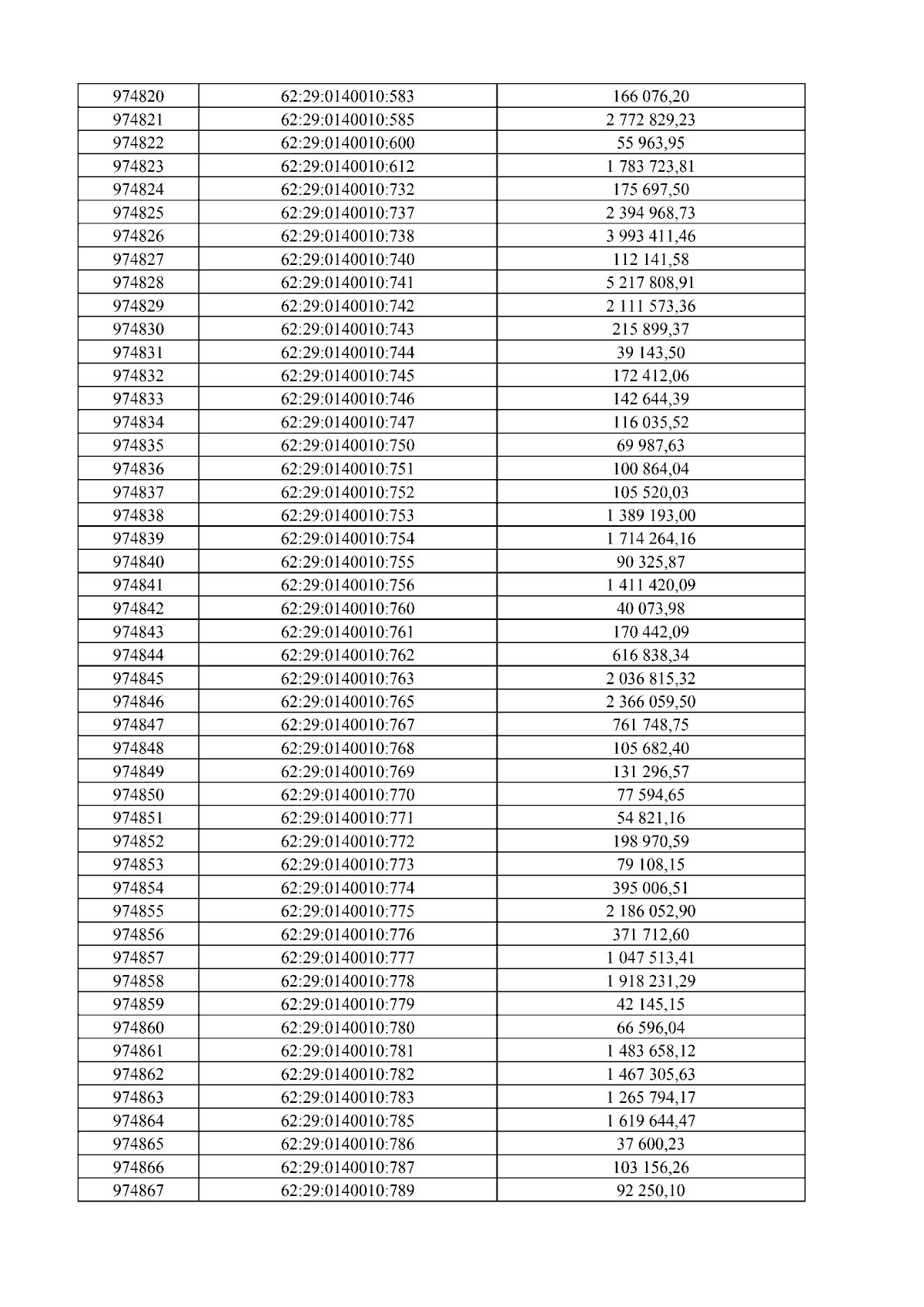
Постановление Министерства имущественных и земельных отношений Рязанской области от 02.10.2023 № 28-П
"Об утверждении результатов определения государственной кадастровой оценки одновременно в отношении всех учтенных в Едином государственном реестре недвижимости зданий, помещений, сооружений, объектов незавершенного строительства, машино-мест на территории Рязанской области"
(Зарегистрирован 02.10.2023 № 826)
Номер опубликования: 6201202310060002
Дата опубликования: 06.10.2023
Страница №20312 из 20474:
Увеличить