Официальное опубликование правовых актов
ОФИЦИАЛЬНОЕ ОПУБЛИКОВАНИЕ
Постановление Главного управления архитектуры и градостроительства Рязанской области от 05.10.2023 № 469-п
"Об утверждении генерального плана муниципального образования – Болоньское сельское поселение Клепиковского муниципального района Рязанской области"
(Зарегистрирован 06.10.2023 № 838)
Номер опубликования: 6201202310060011
Дата опубликования: 06.10.2023
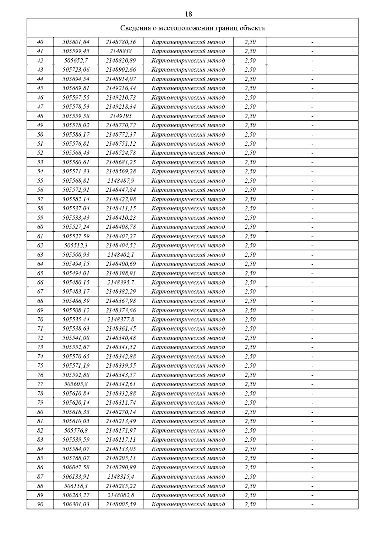
Страница №31 из 196:
Увеличить