Официальное опубликование правовых актов
ОФИЦИАЛЬНОЕ ОПУБЛИКОВАНИЕ
Постановление Главного управления архитектуры и градостроительства Рязанской области от 06.10.2023 № 474-п
"Об утверждении генерального плана муниципального образования – Сысоевское сельское поселение Сараевского муниципального района Рязанской области"
(Зарегистрирован 09.10.2023 № 843)
Номер опубликования: 6201202310100002
Дата опубликования: 10.10.2023
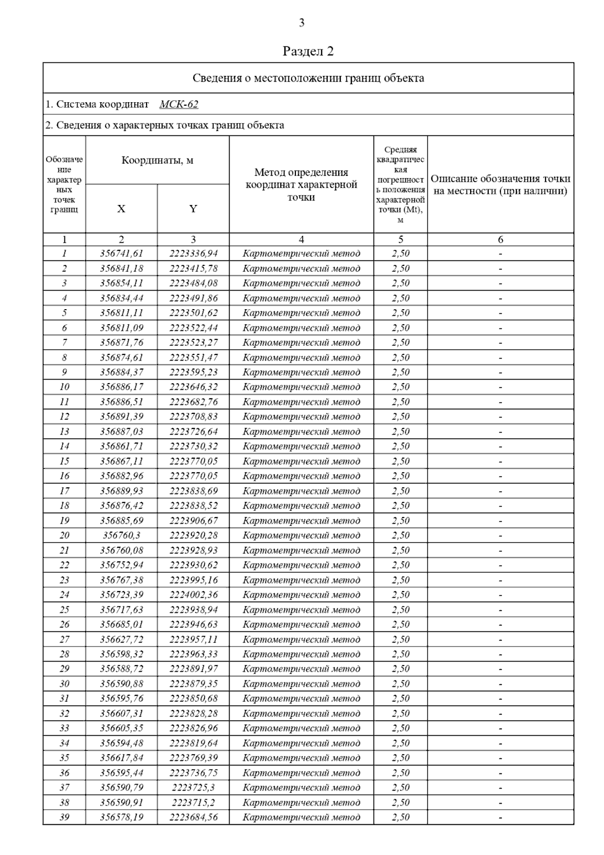
Страница №15 из 41:
Увеличить