Официальное опубликование правовых актов
ОФИЦИАЛЬНОЕ ОПУБЛИКОВАНИЕ
Постановление Главного управления архитектуры и градостроительства Рязанской области от 06.10.2023 № 475-п
"Об утверждении правил землепользования и застройки муниципального образования – Сысоевское сельское поселение Сараевского муниципального района Рязанской области"
(Зарегистрирован 09.10.2023 № 844)
Номер опубликования: 6201202310100003
Дата опубликования: 10.10.2023
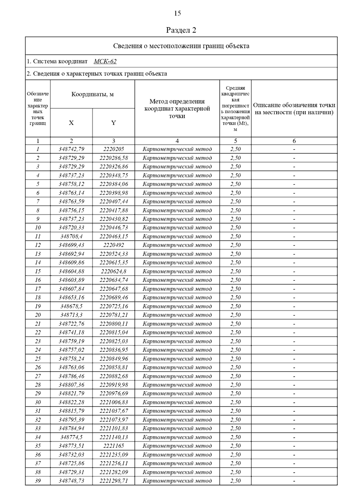
Страница №45 из 163:
Увеличить