Официальное опубликование правовых актов
ОФИЦИАЛЬНОЕ ОПУБЛИКОВАНИЕ
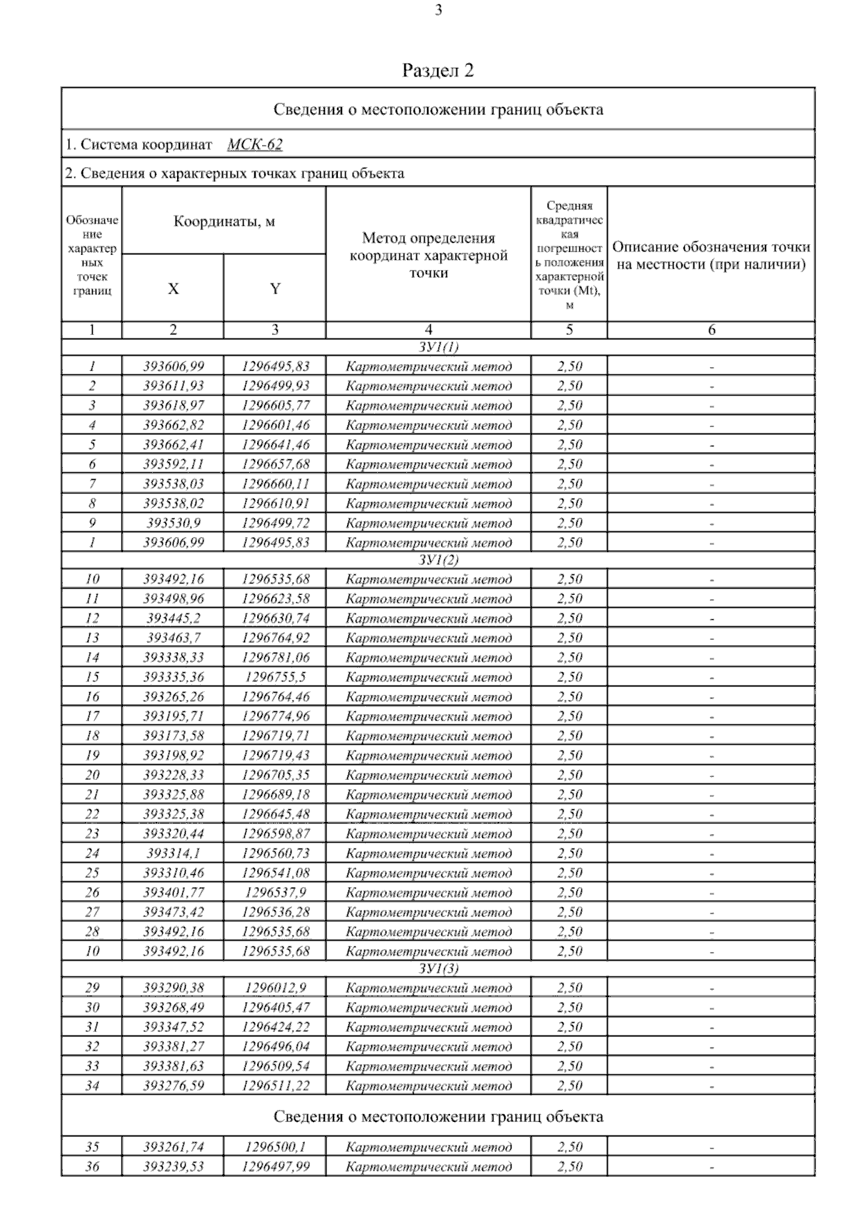
Постановление Главного управления архитектуры и градостроительства Рязанской области от 17.10.2023 № 481-п
"Об утверждении изменений в правила землепользования и застройки муниципального образования – Красновское сельское поселение Михайловского муниципального района Рязанской области"
(Зарегистрирован 18.10.2023 № 875)
Номер опубликования: 6201202310200003
Дата опубликования: 20.10.2023
Страница №7 из 9:
Увеличить