Официальное опубликование правовых актов
ОФИЦИАЛЬНОЕ ОПУБЛИКОВАНИЕ
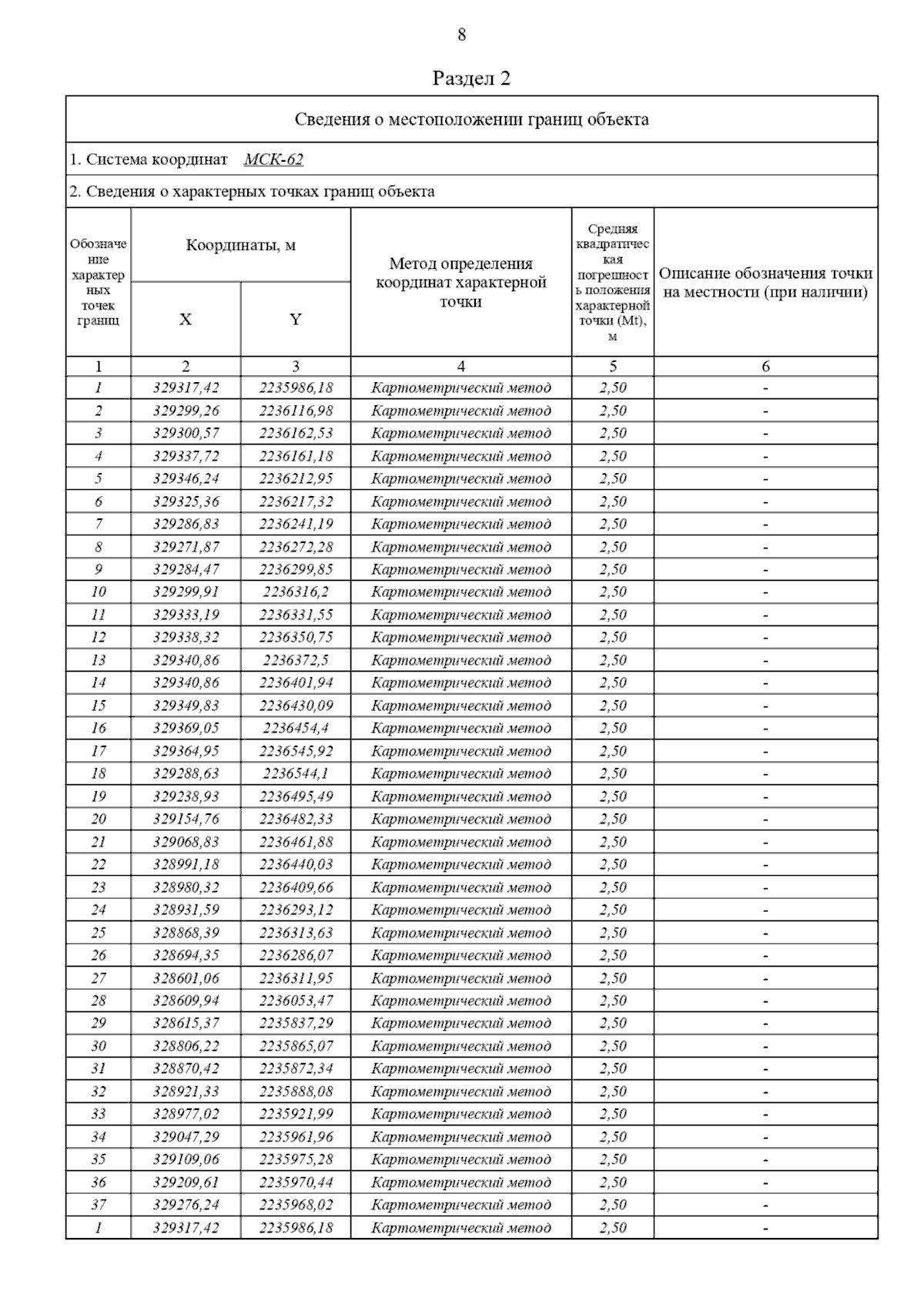
Постановление Главного управления архитектуры и градостроительства Рязанской области от 17.10.2023 № 482-п
"Об утверждении генерального плана муниципального образования – Ягодновское сельское поселение Сараевского муниципального района Рязанской области"
(Зарегистрирован 18.10.2023 № 876)
Номер опубликования: 6201202310200004
Дата опубликования: 20.10.2023
Страница №20 из 49:
Увеличить