Официальное опубликование правовых актов
ОФИЦИАЛЬНОЕ ОПУБЛИКОВАНИЕ
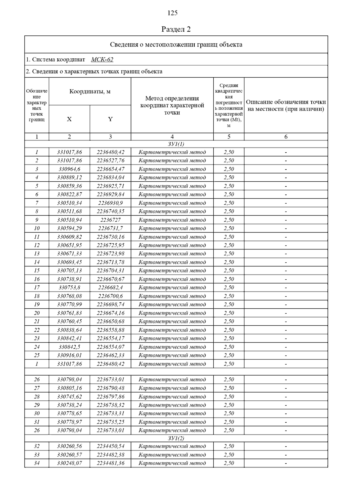
Постановление Главного управления архитектуры и градостроительства Рязанской области от 17.10.2023 № 483-п
"Об утверждении правил землепользования и застройки муниципального образования – Ягодновское сельское поселение Сараевского муниципального района Рязанской области"
(Зарегистрирован 18.10.2023 № 877)
Номер опубликования: 6201202310200007
Дата опубликования: 20.10.2023
Страница №154 из 157:
Увеличить