Официальное опубликование правовых актов
ОФИЦИАЛЬНОЕ ОПУБЛИКОВАНИЕ
Постановление Главного управления архитектуры и градостроительства Рязанской области от 20.10.2023 № 497-п
"Об утверждении изменений в правила землепользования и застройки муниципального образования – Муравлянское сельское поселение Сараевского муниципального района Рязанской области"
(Зарегистрирован 24.10.2023 № 894)
Номер опубликования: 6201202310260003
Дата опубликования: 26.10.2023
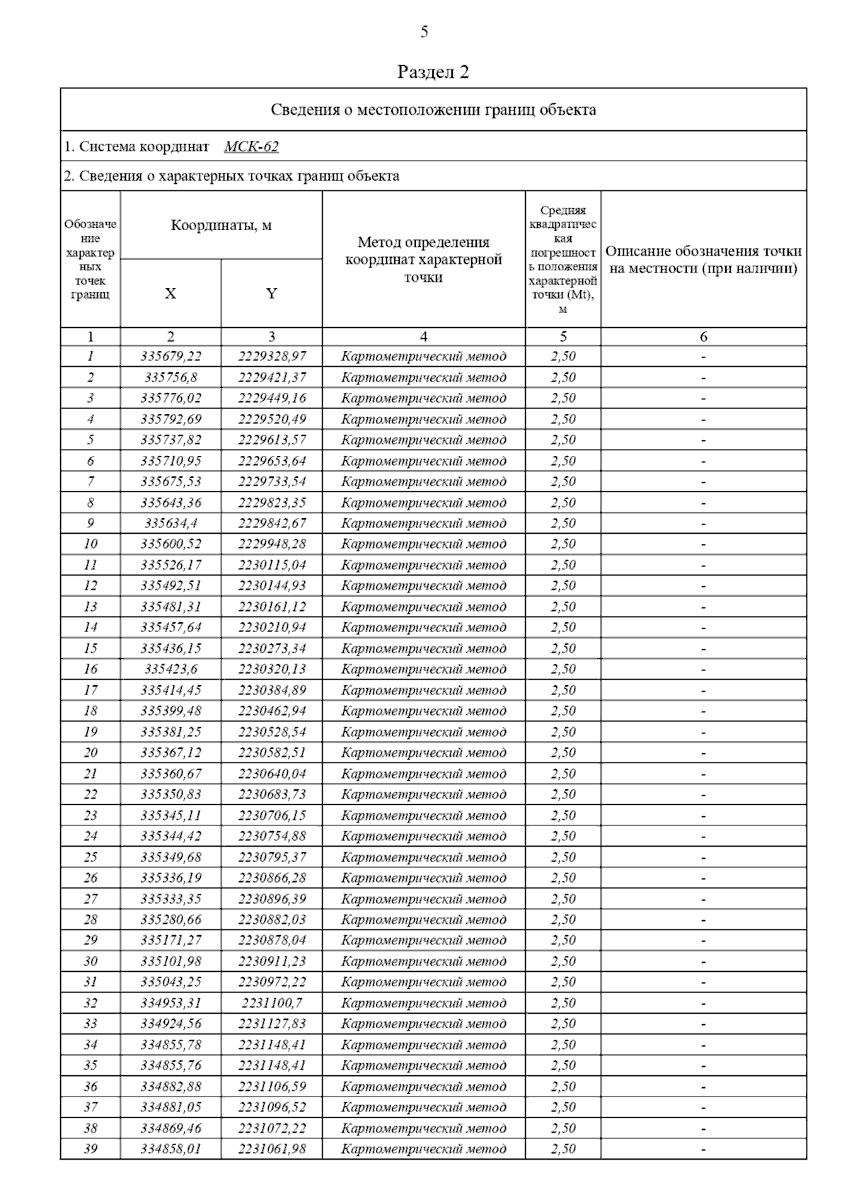
Страница №34 из 172:
Увеличить