Официальное опубликование правовых актов
ОФИЦИАЛЬНОЕ ОПУБЛИКОВАНИЕ
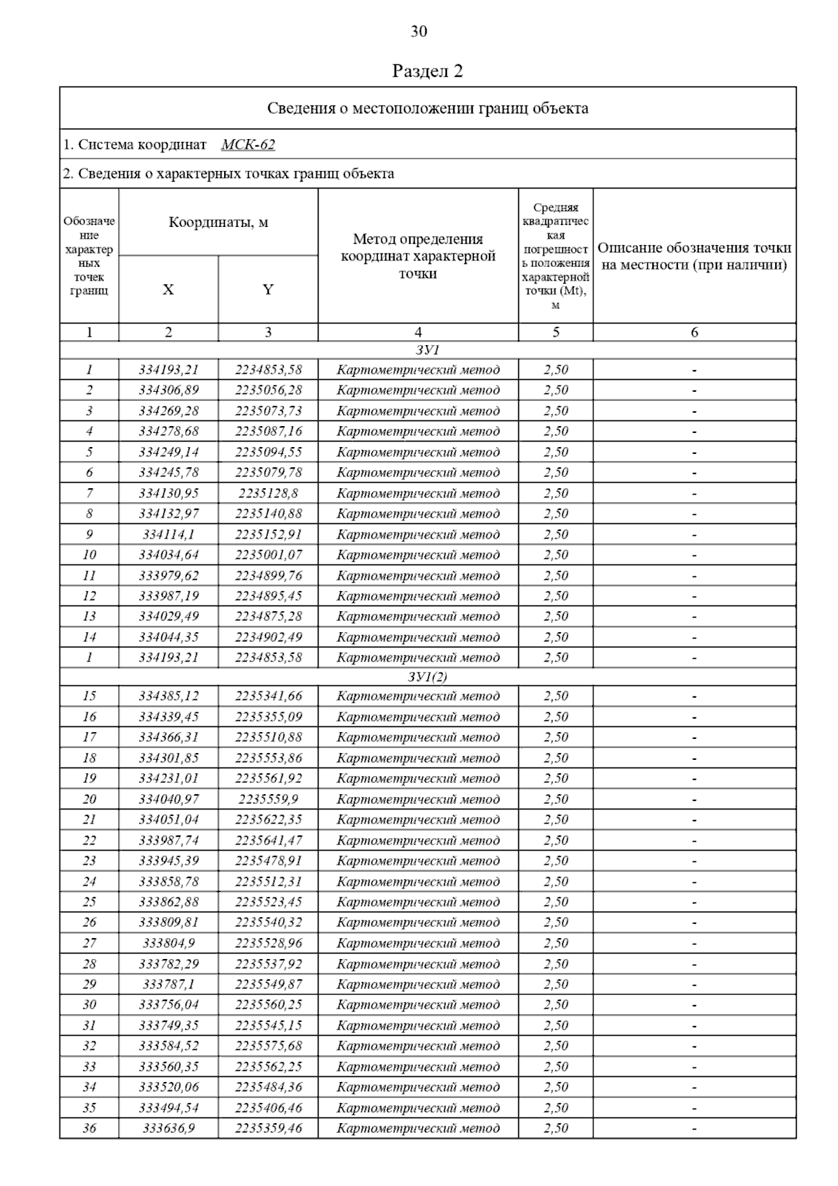
Постановление Главного управления архитектуры и градостроительства Рязанской области от 20.10.2023 № 496-п
"Об утверждении изменений в генеральный план муниципального образования – Муравлянское сельское поселение Сараевского муниципального района Рязанской области"
(Зарегистрирован 24.10.2023 № 893)
Номер опубликования: 6201202310260004
Дата опубликования: 26.10.2023
Страница №41 из 66:
Увеличить