Официальное опубликование правовых актов
ОФИЦИАЛЬНОЕ ОПУБЛИКОВАНИЕ
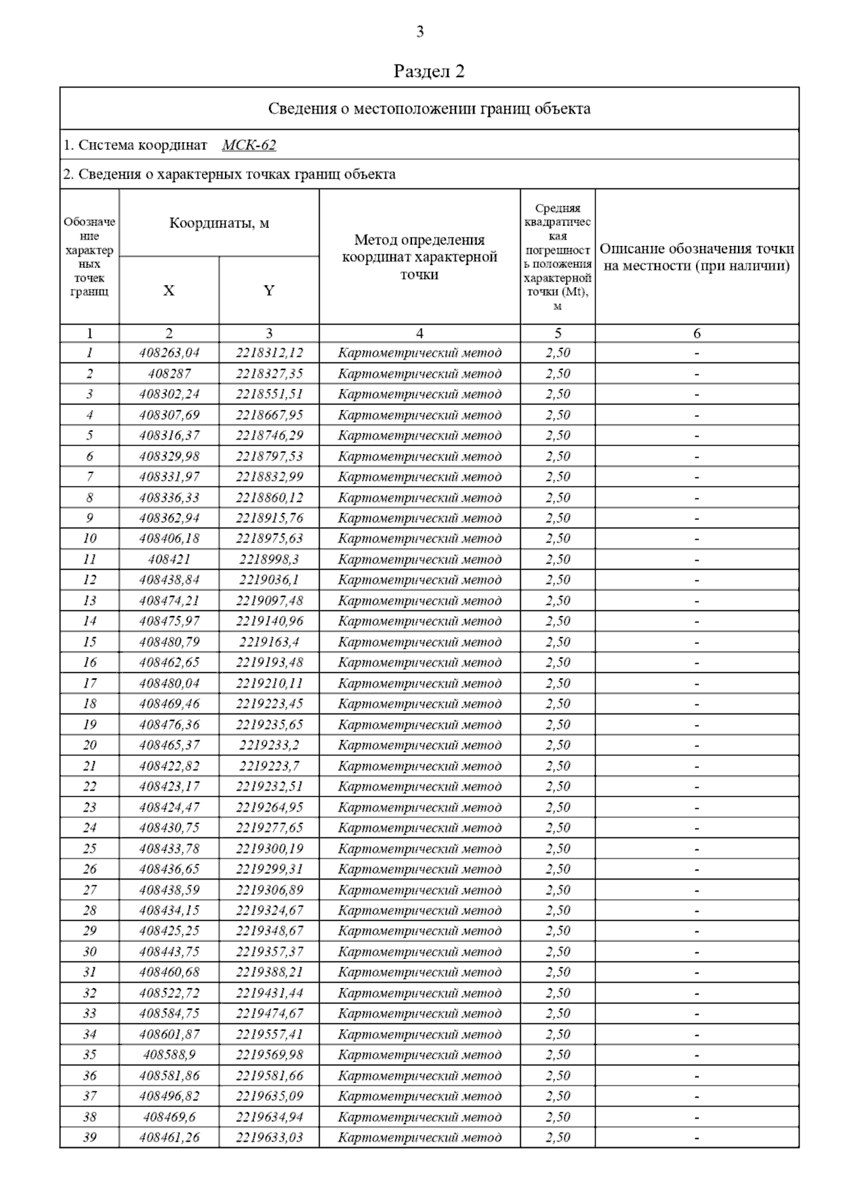
Постановление Главного управления архитектуры и градостроительства Рязанской области от 01.11.2023 № 546-п
"Об утверждении правил землепользования и застройки муниципального образования – Тимошкинское сельское поселение Шиловского муниципального района Рязанской области"
(Зарегистрирован 01.11.2023 № 957)
Номер опубликования: 6201202311030003
Дата опубликования: 03.11.2023
Страница №38 из 188:
Увеличить