Официальное опубликование правовых актов
ОФИЦИАЛЬНОЕ ОПУБЛИКОВАНИЕ
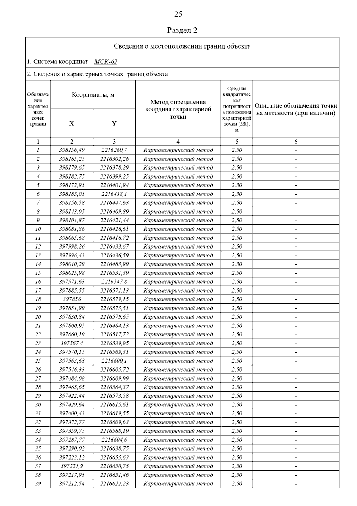
Постановление Главного управления архитектуры и градостроительства Рязанской области от 01.11.2023 № 545-п
"Об утверждении генерального плана муниципального образования –Тимошкинское сельское поселение Шиловского муниципального района Рязанской области"
(Зарегистрирован 01.11.2023 № 956)
Номер опубликования: 6201202311030004
Дата опубликования: 03.11.2023
Страница №37 из 38:
Увеличить