Официальное опубликование правовых актов
ОФИЦИАЛЬНОЕ ОПУБЛИКОВАНИЕ
Постановление Главного управления "Региональная энергетическая комиссия" Рязанской области от 07.11.2023 № 61
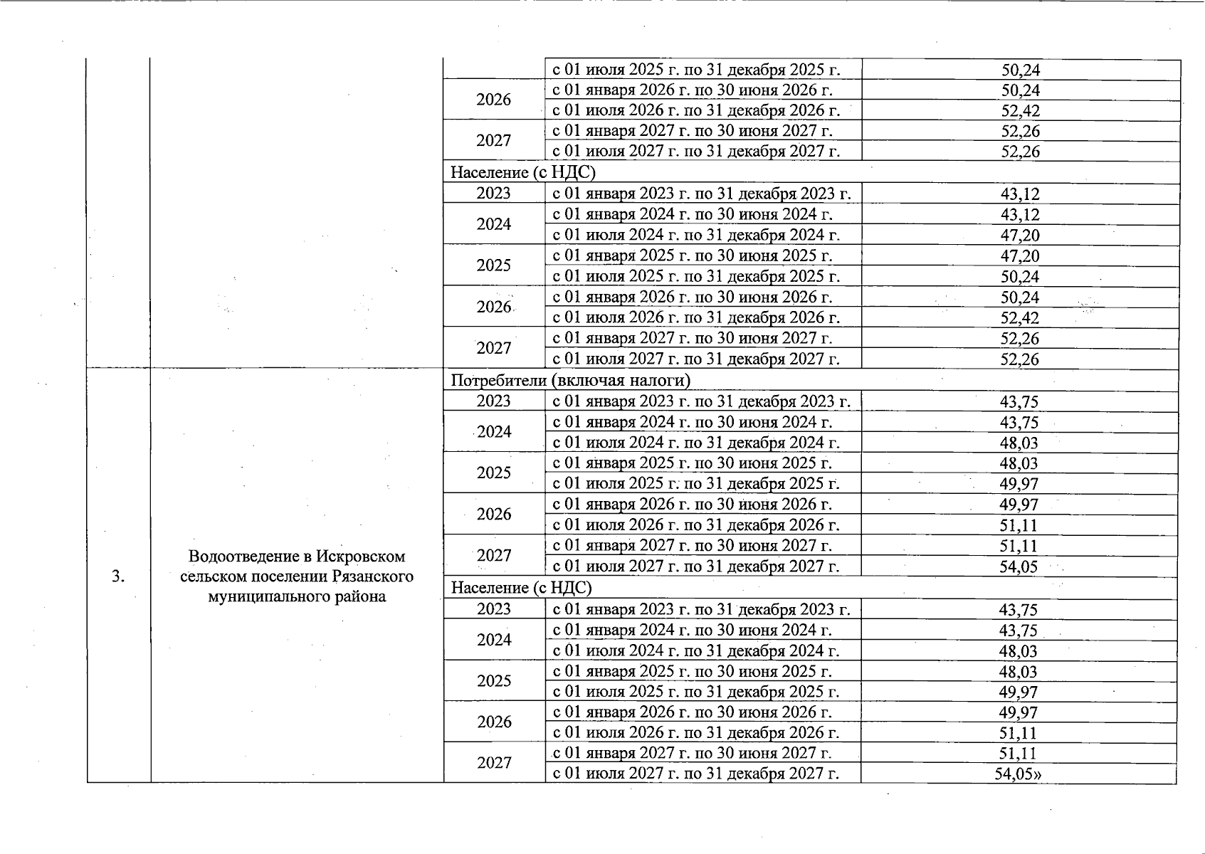
"О внесении изменений в постановление ГУ РЭК Рязанской области от 24 ноября 2022 г. № 263 "Об установлении тарифа на питьевую воду в сфере холодного водоснабжения, водоотведение для потребителей МКП "ЖКХ Рязанский Водоканал" в Искровском сельском поселении Рязанского муниципального района"
(Зарегистрирован 08.11.2023 № 980)
Номер опубликования: 6201202311130026
Дата опубликования: 13.11.2023
Страница №6 из 7:
Увеличить