Официальное опубликование правовых актов
ОФИЦИАЛЬНОЕ ОПУБЛИКОВАНИЕ
Постановление Главного управления архитектуры и градостроительства Рязанской области от 13.11.2023 № 554-п
"Об утверждении изменений в генеральный план муниципального образования – Ухоловское городское поселение Ухоловского муниципального района Рязанской области"
(Зарегистрирован 14.11.2023 № 1016)
Номер опубликования: 6201202311150003
Дата опубликования: 15.11.2023
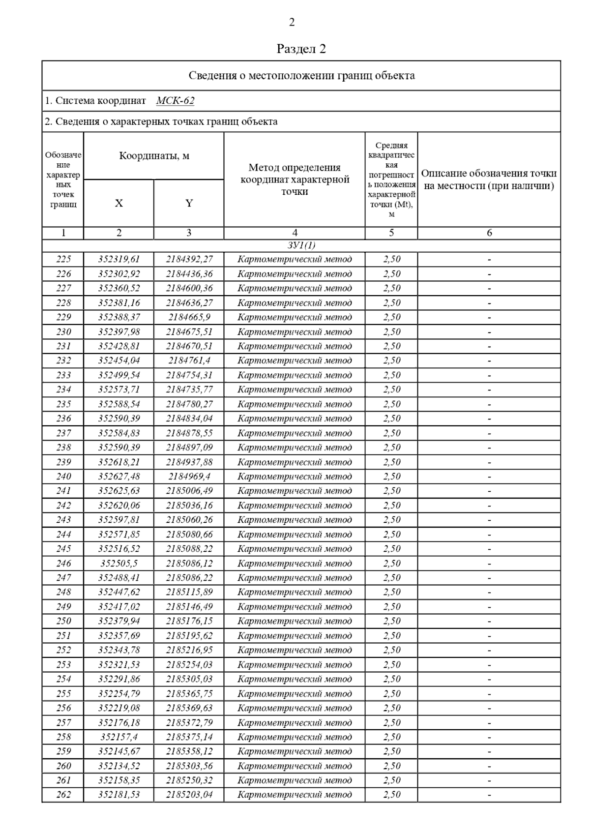
Страница №8 из 35:
Увеличить