Официальное опубликование правовых актов
ОФИЦИАЛЬНОЕ ОПУБЛИКОВАНИЕ
Постановление Главного управления "Региональная энергетическая комиссия" Рязанской области от 13.11.2023 № 110
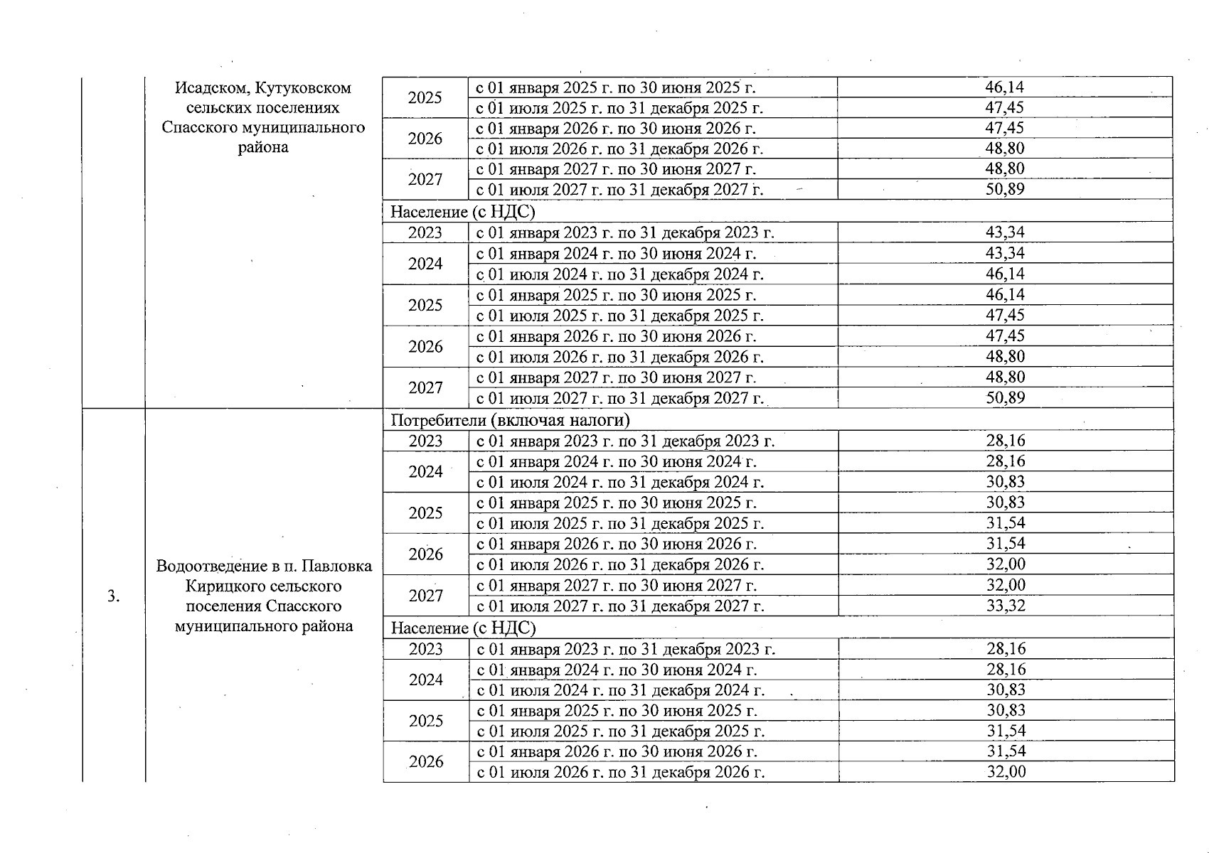
"О внесении изменений в постановление ГУ РЭК Рязанской области от 24 ноября 2022 г. № 252 "Об установлении тарифов на питьевую воду в сфере холодного водоснабжения, водоотведение для потребителей МКП "Теплосервис" Спасского муниципального района"
(Зарегистрирован 16.11.2023 № 1042)
Номер опубликования: 6201202311200010
Дата опубликования: 20.11.2023
Страница №7 из 9:
Увеличить