Официальное опубликование правовых актов
ОФИЦИАЛЬНОЕ ОПУБЛИКОВАНИЕ
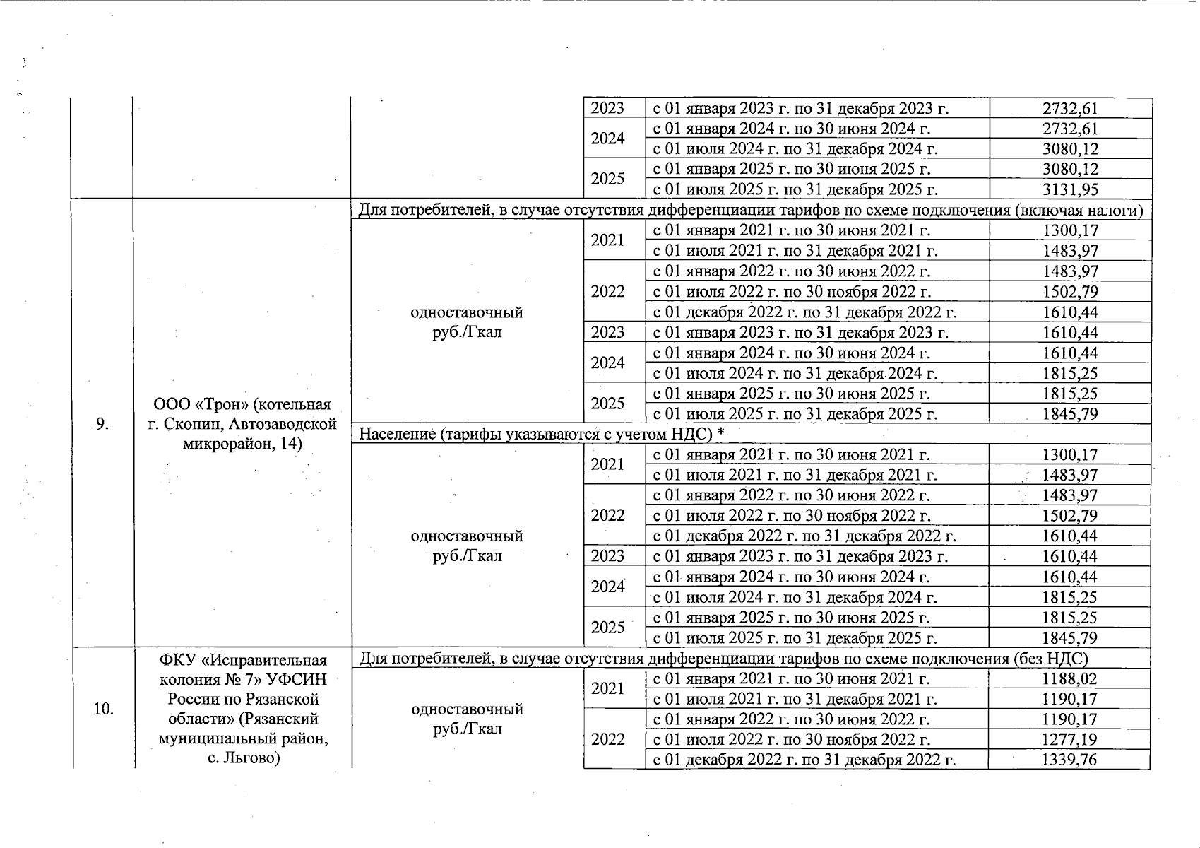
Постановление Главного управления "Региональная энергетическая комиссия" Рязанской области от 16.11.2023 № 123
"О внесении изменений в постановление ГУ РЭК Рязанской области от 17 декабря 2020 г. № 330 "О тарифах на тепловую энергию для потребителей Рязанской области на 2021-2025 годы"
(Зарегистрирован 20.11.2023 № 1063)
Номер опубликования: 6201202311230006
Дата опубликования: 23.11.2023
Страница №6 из 8:
Увеличить