Официальное опубликование правовых актов
ОФИЦИАЛЬНОЕ ОПУБЛИКОВАНИЕ
Постановление Главного управления архитектуры и градостроительства Рязанской области от 22.11.2023 № 561-п
"Об утверждении изменений в правила землепользования и застройки муниципального образования – Кучасьевское сельское поселение Шацкого муниципального района Рязанской области"
(Зарегистрирован 23.11.2023 № 1108)
Номер опубликования: 6201202311270003
Дата опубликования: 27.11.2023
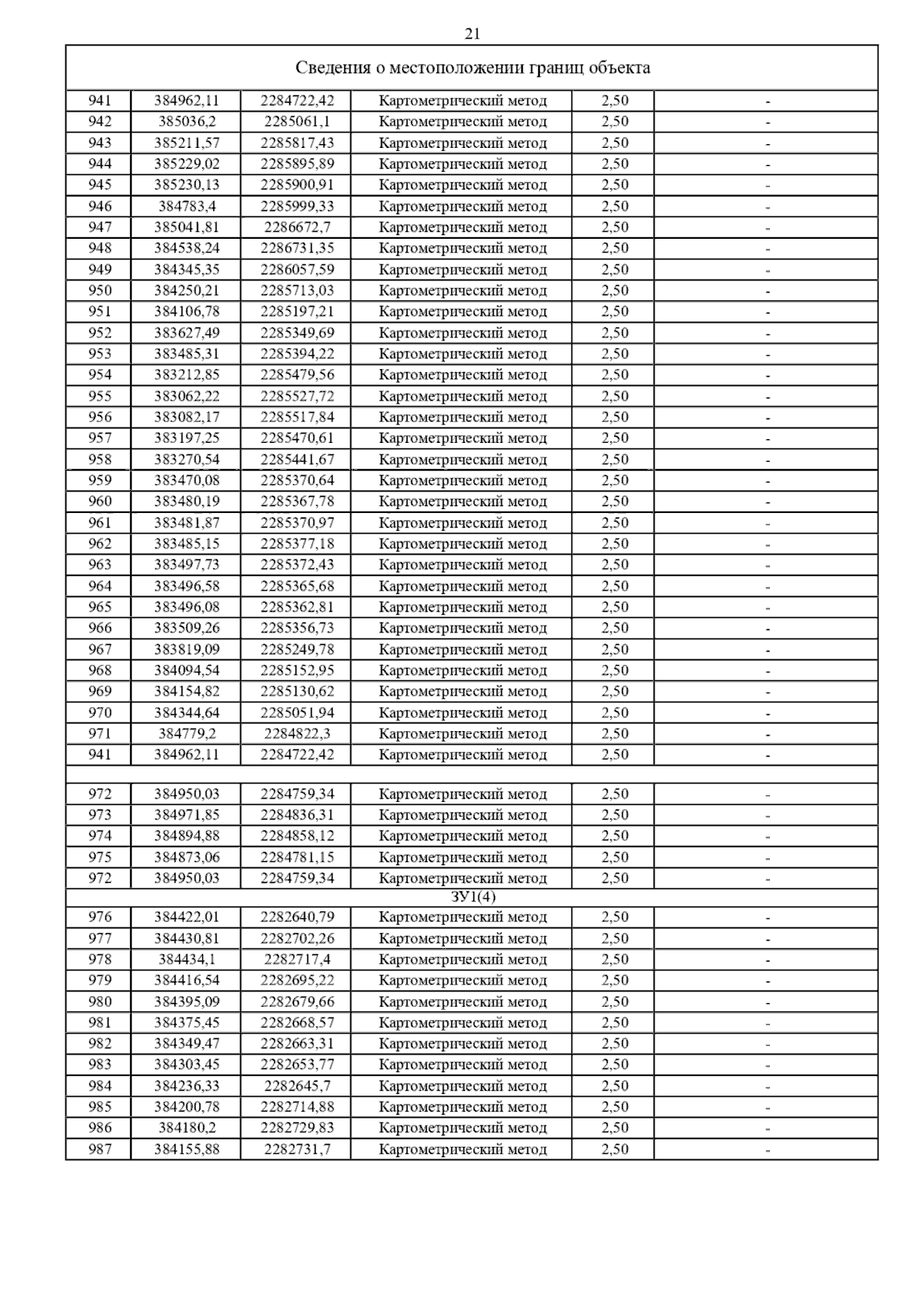
Страница №24 из 49:
Увеличить