Официальное опубликование правовых актов
ОФИЦИАЛЬНОЕ ОПУБЛИКОВАНИЕ
Постановление Главного управления архитектуры и градостроительства Рязанской области от 27.11.2023 № 567-п
"Об утверждении изменений в правила землепользования и застройки муниципального образования – Ухоловское городское поселение Ухоловского муниципального района Рязанской области"
(Зарегистрирован 28.11.2023 № 1144)
Номер опубликования: 6201202311300010
Дата опубликования: 30.11.2023
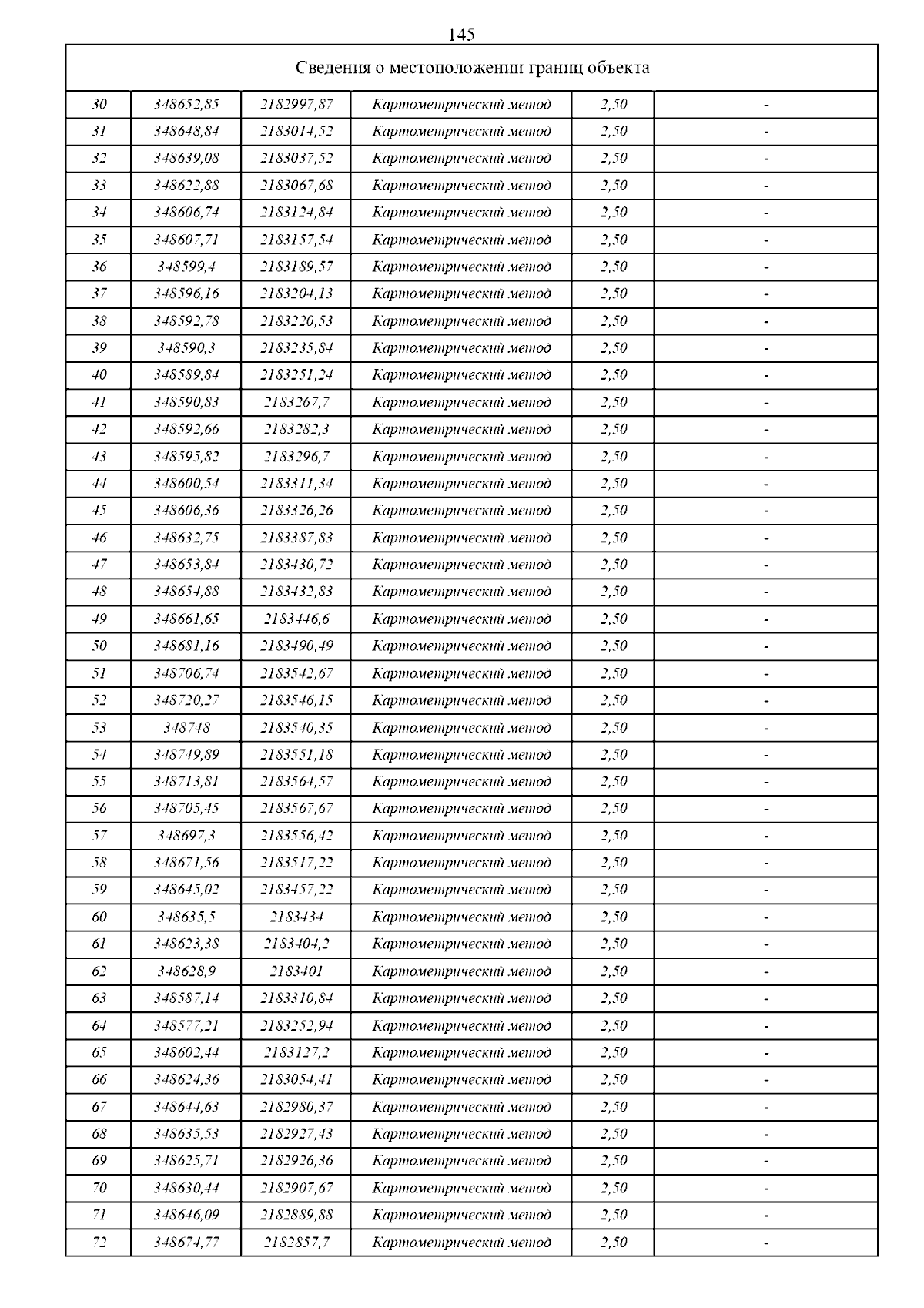
Страница №153 из 465:
Увеличить