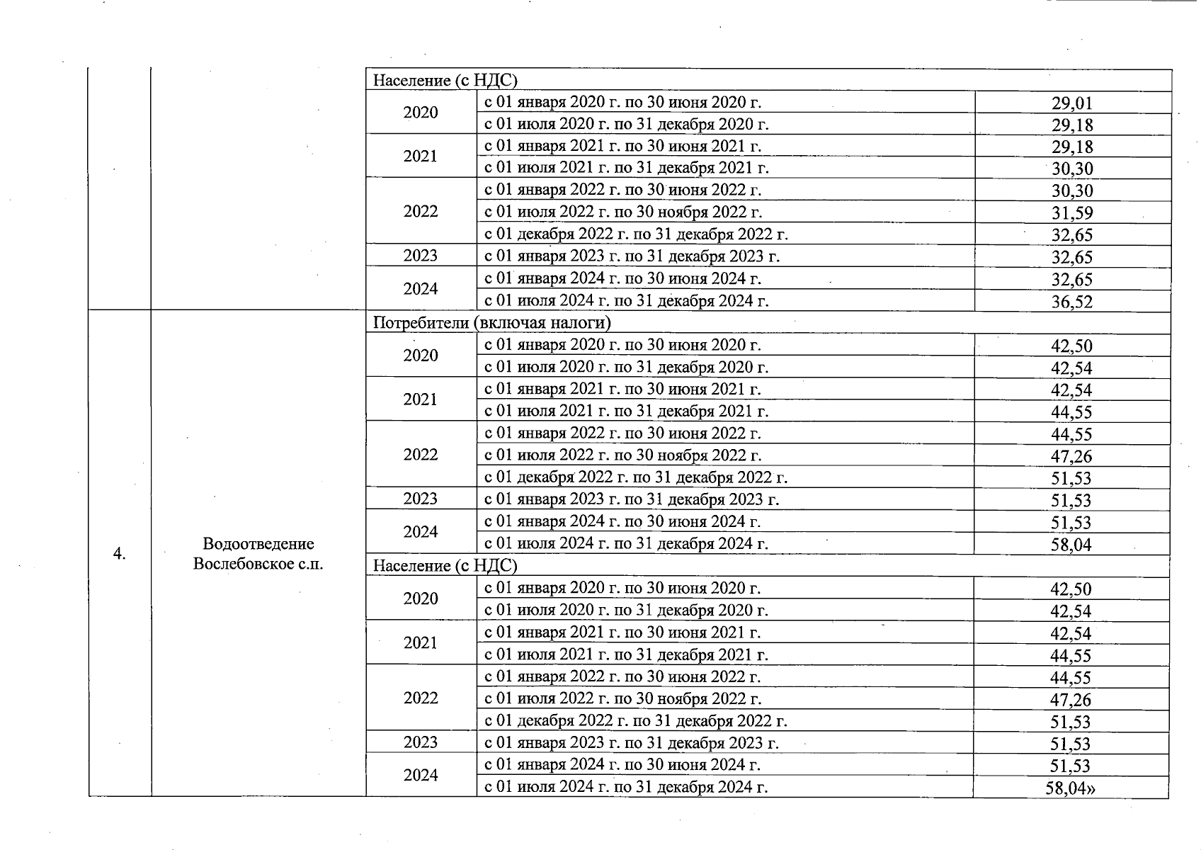
Постановление Главного управления "Региональная энергетическая комиссия" Рязанской области от 27.11.2023 № 180
"О внесении изменений в постановление ГУ РЭК Рязанской области от 10 декабря 2019 г. № 320 "Об установлении тарифов на питьевую воду в сфере холодного водоснабжения, водоотведение для потребителей МКП "Жилсервис" муниципального образования – Скопинский муниципальный район Рязанской области"
(Зарегистрирован 29.11.2023 № 1150)
"О внесении изменений в постановление ГУ РЭК Рязанской области от 10 декабря 2019 г. № 320 "Об установлении тарифов на питьевую воду в сфере холодного водоснабжения, водоотведение для потребителей МКП "Жилсервис" муниципального образования – Скопинский муниципальный район Рязанской области"
(Зарегистрирован 29.11.2023 № 1150)
Номер опубликования: 6201202312010010
Дата опубликования:
01.12.2023
