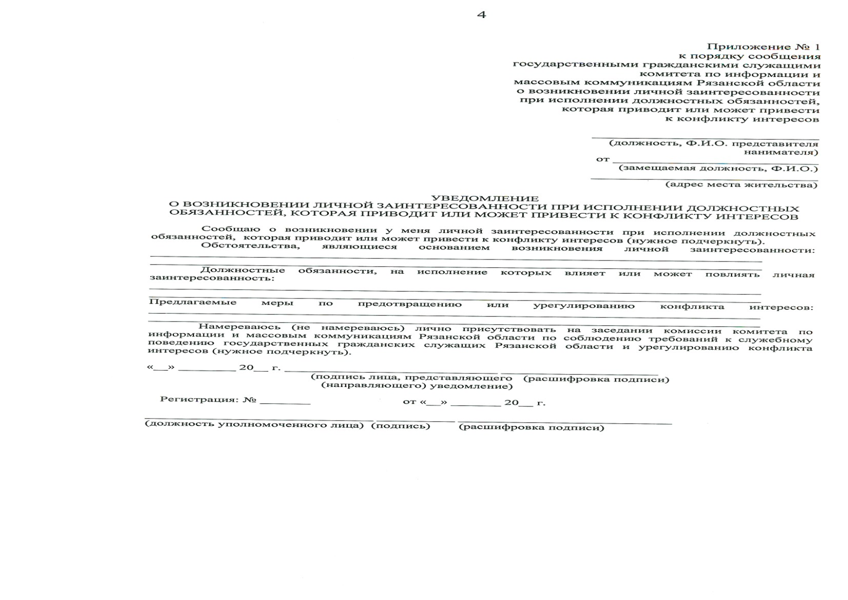
Постановление Комитета по информации и массовым коммуникациям Рязанской области от 30.11.2023 № 13
"О порядке сообщения государственными гражданскими служащими комитета по информации и массовым коммуникациям Рязанской области о возникновении личной заинтересованности при исполнении должностных обязанностей, которая приводит или может привести к конфликту интересов"
(Зарегистрирован 30.11.2023 № 1160)
"О порядке сообщения государственными гражданскими служащими комитета по информации и массовым коммуникациям Рязанской области о возникновении личной заинтересованности при исполнении должностных обязанностей, которая приводит или может привести к конфликту интересов"
(Зарегистрирован 30.11.2023 № 1160)
Номер опубликования: 6201202312040002
Дата опубликования:
04.12.2023
