Официальное опубликование правовых актов
ОФИЦИАЛЬНОЕ ОПУБЛИКОВАНИЕ
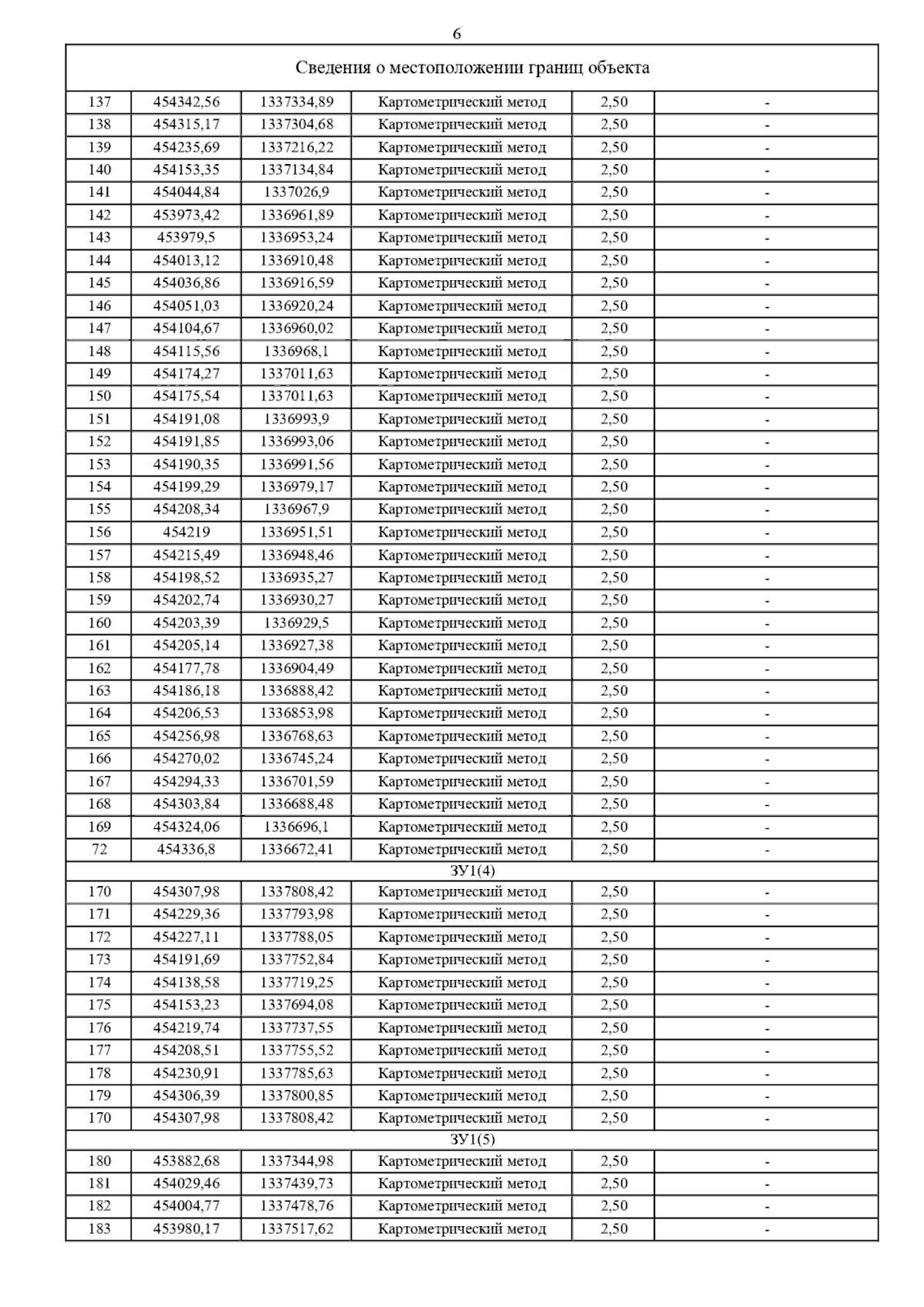
Постановление Главного управления архитектуры и градостроительства Рязанской области от 30.11.2023 № 571-п
"Об утверждении изменений в правила землепользования и застройки муниципального образования – Полянское сельское поселение Рязанского муниципального района Рязанской области"
(Зарегистрирован 04.12.2023 № 1167)
Номер опубликования: 6201202312060002
Дата опубликования: 06.12.2023
Страница №10 из 16:
Увеличить