Официальное опубликование правовых актов
ОФИЦИАЛЬНОЕ ОПУБЛИКОВАНИЕ
Постановление Главного управления архитектуры и градостроительства Рязанской области от 04.12.2023 № 574-п
"Об утверждении генерального плана муниципального образования – Куплинское сельское поселение Шацкого муниципального района Рязанской области применительно к населенному пункту п. Выша"
(Зарегистрирован 05.12.2023 № 1224)
Номер опубликования: 6201202312080014
Дата опубликования: 08.12.2023
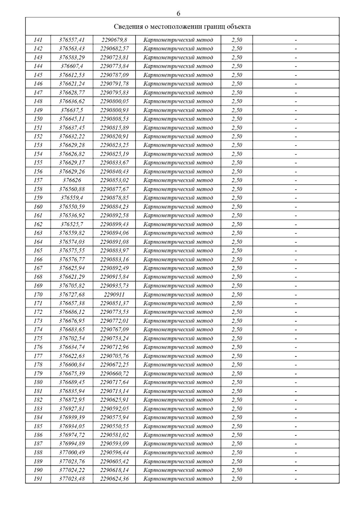
Страница №16 из 18:
Увеличить