Официальное опубликование правовых актов
ОФИЦИАЛЬНОЕ ОПУБЛИКОВАНИЕ
Постановление Главного управления "Региональная энергетическая комиссия" Рязанской области от 04.12.2023 № 253
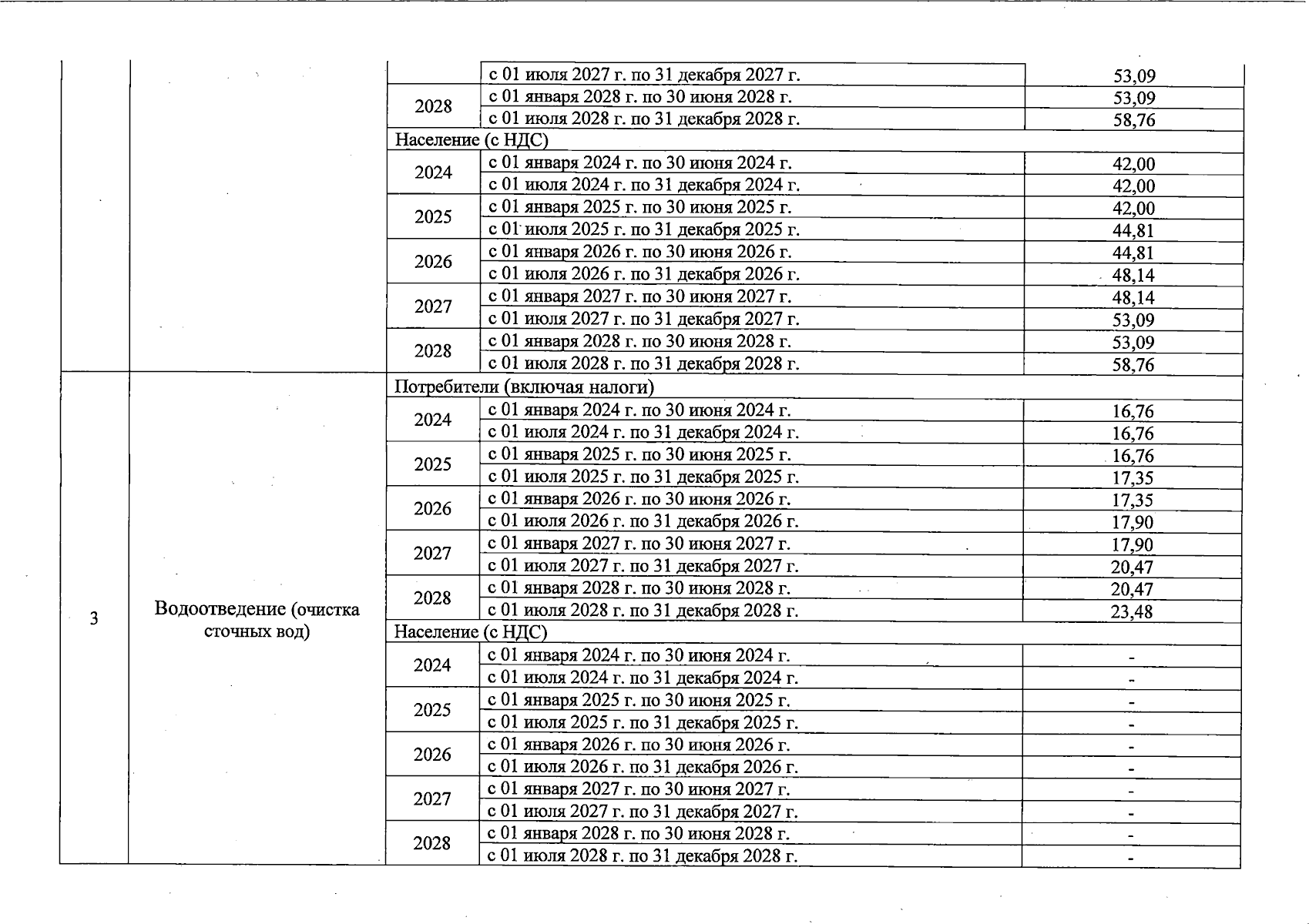
"Об установлении тарифов на питьевую воду в сфере холодного водоснабжения, водоотведение (очистка и транспортировка сточных вод), водоотведение (очистка сточных вод) для потребителей МУП ЖКХ "Быт" (Рязанский муниципальный район)"
(Зарегистрирован 06.12.2023 № 1247)
Номер опубликования: 6201202312080033
Дата опубликования: 08.12.2023
Страница №13 из 14:
Увеличить