Официальное опубликование правовых актов
ОФИЦИАЛЬНОЕ ОПУБЛИКОВАНИЕ
Постановление Главного управления архитектуры и градостроительства Рязанской области от 08.12.2023 № 594-п
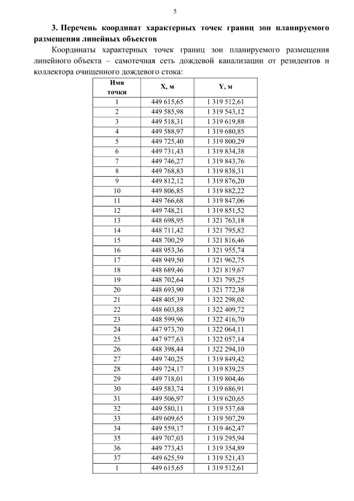
"Об утверждении проекта планировки территории по объекту: «Создание инфраструктуры индустриального (промышленного) парка «Рязанский» в части строительства линейного объекта самотечной сети дождевой канализации от резидентов очищенного дождевого стока»"
(Зарегистрирован 12.12.2023 № 1294)
Номер опубликования: 6201202312140018
Дата опубликования: 14.12.2023
Страница №7 из 11:
Увеличить