Официальное опубликование правовых актов
ОФИЦИАЛЬНОЕ ОПУБЛИКОВАНИЕ
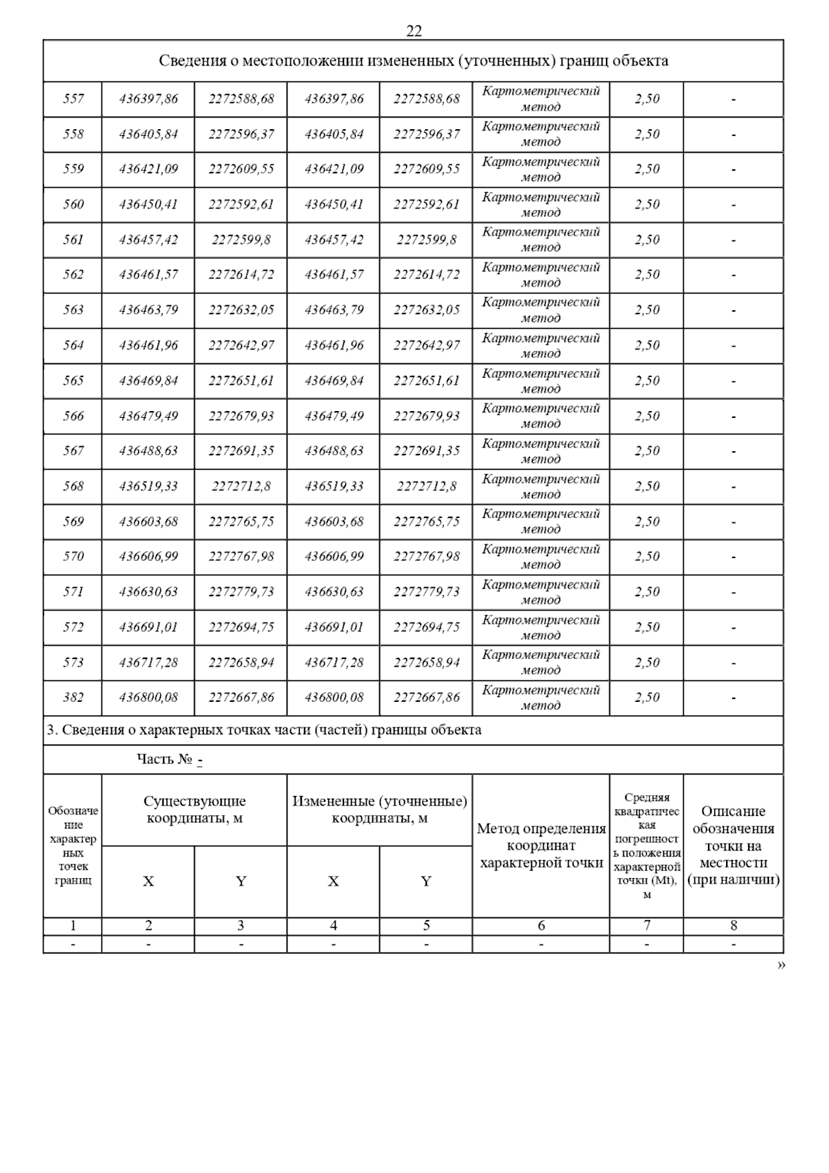
Постановление Главного управления архитектуры и градостроительства Рязанской области от 08.12.2023 № 591-п
"Об утверждении изменений в правила землепользования и застройки муниципального образования – Пителинское городское поселение Пителинского муниципального района Рязанской области"
(Зарегистрирован 12.12.2023 № 1291)
Номер опубликования: 6201202312140021
Дата опубликования: 14.12.2023
Страница №25 из 28:
Увеличить