Официальное опубликование правовых актов
ОФИЦИАЛЬНОЕ ОПУБЛИКОВАНИЕ
Постановление Главного управления "Региональная энергетическая комиссия" Рязанской области от 11.12.2023 № 273
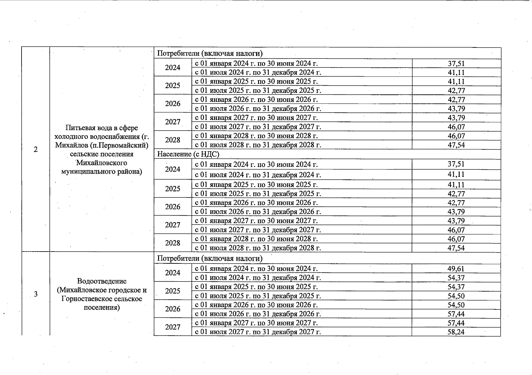
"Об установлении тарифов на питьевую воду в сфере холодного водоснабжения, водоотведение для потребителей МКП "Энерго-сбытовая и тепловая компания"
(Зарегистрирован 13.12.2023 № 1295)
Номер опубликования: 6201202312140034
Дата опубликования: 14.12.2023
Страница №18 из 20:
Увеличить