Официальное опубликование правовых актов
ОФИЦИАЛЬНОЕ ОПУБЛИКОВАНИЕ
Постановление Главного управления архитектуры и градостроительства Рязанской области от 18.12.2023 № 600-п
"Об утверждении изменений в генеральный план муниципального образования – Семеновское сельское поселение Рязанского муниципального района Рязанской области"
(Зарегистрирован 18.12.2023 № 1327)
Номер опубликования: 6201202312200002
Дата опубликования: 20.12.2023
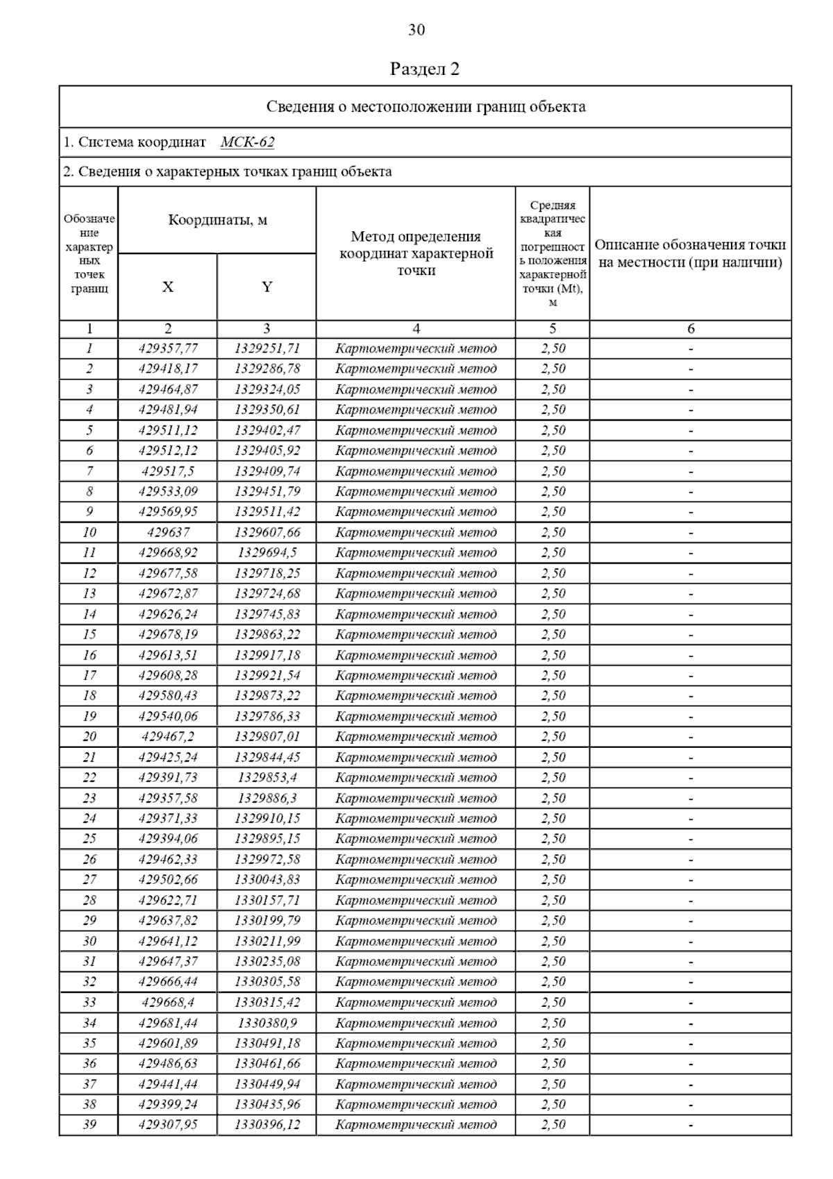
Страница №46 из 110:
Увеличить