Официальное опубликование правовых актов
ОФИЦИАЛЬНОЕ ОПУБЛИКОВАНИЕ
Постановление Главного управления архитектуры и градостроительства Рязанской области от 15.12.2023 № 599-п
"Об утверждении изменений в правила землепользования и застройки муниципального образования – Рыбновское городское поселение Рыбновского муниципального района Рязанской области"
(Зарегистрирован 18.12.2023 № 1326)
Номер опубликования: 6201202312200003
Дата опубликования: 20.12.2023
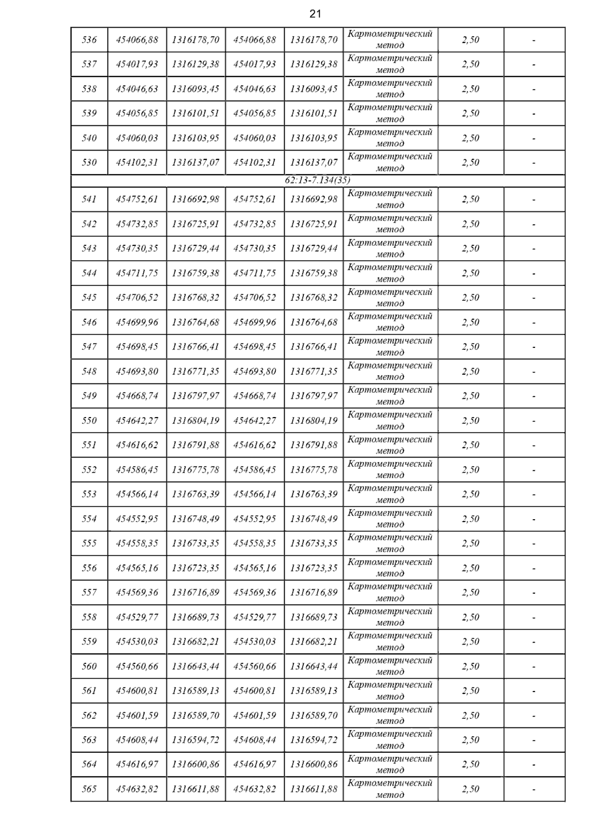
Страница №48 из 57:
Увеличить