Постановление Главного управления "Региональная энергетическая комиссия" Рязанской области от 14.12.2023 № 324
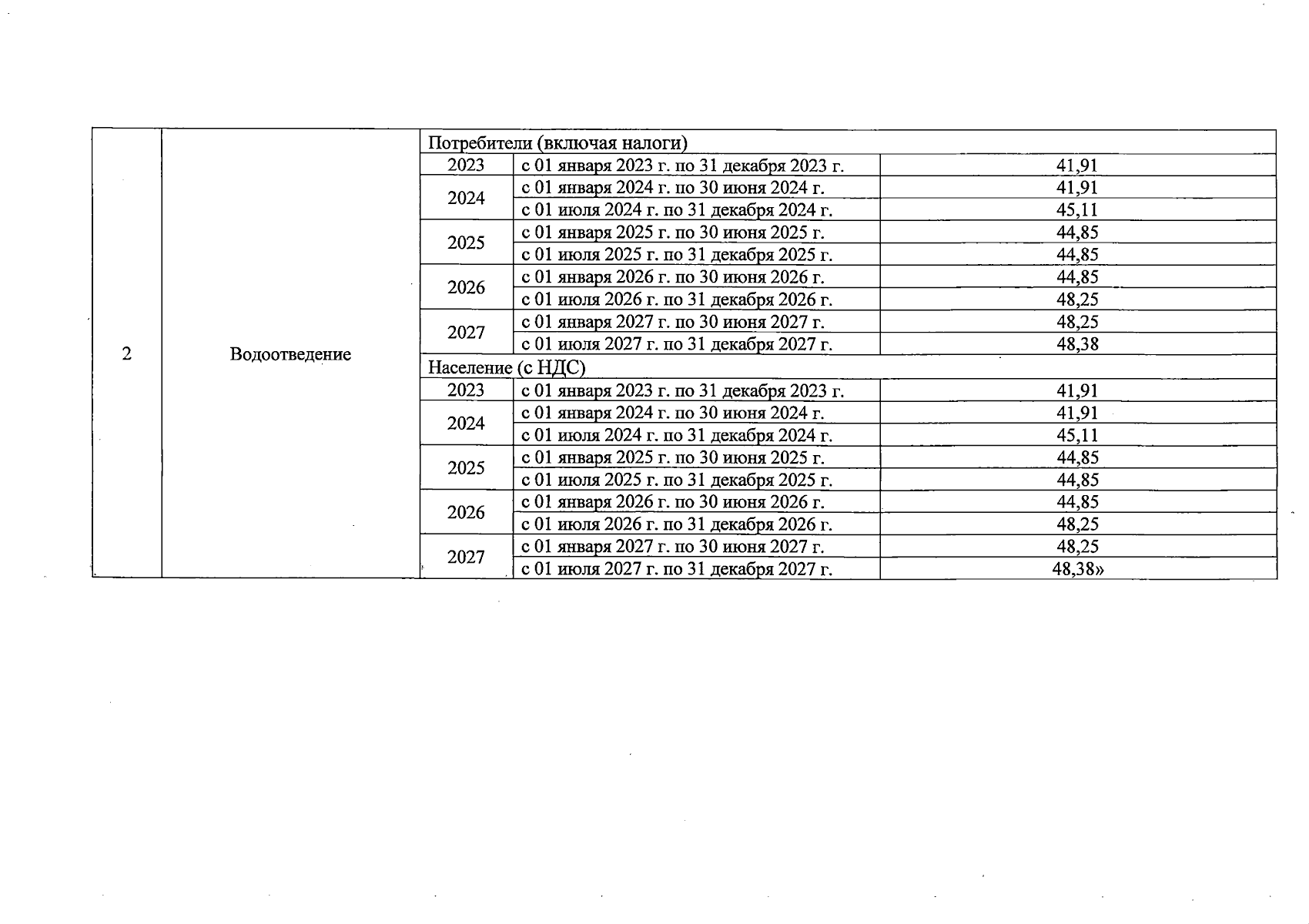
"О внесении изменений в постановление ГУ РЭК Рязанской области от 24 ноября 2022 г. № 265 "Об установлении тарифов на питьевую воду в сфере холодного водоснабжения, водоотведение для потребителей МКП "ЖКХ Рязанский Водоканал" в Турлатовском сельском поселении Рязанского муниципального района"
(Зарегистрирован 19.12.2023 № 1362)
"О внесении изменений в постановление ГУ РЭК Рязанской области от 24 ноября 2022 г. № 265 "Об установлении тарифов на питьевую воду в сфере холодного водоснабжения, водоотведение для потребителей МКП "ЖКХ Рязанский Водоканал" в Турлатовском сельском поселении Рязанского муниципального района"
(Зарегистрирован 19.12.2023 № 1362)
Номер опубликования: 6201202312220024
Дата опубликования:
22.12.2023
