Официальное опубликование правовых актов
ОФИЦИАЛЬНОЕ ОПУБЛИКОВАНИЕ
Постановление Главного управления архитектуры и градостроительства Рязанской области от 18.12.2023 № 603-п
"Об утверждении изменений в правила землепользования и застройки муниципального образования – Мурминское сельское поселение Рязанского муниципального района Рязанской области"
(Зарегистрирован 20.12.2023 № 1399)
Номер опубликования: 6201202312220047
Дата опубликования: 22.12.2023
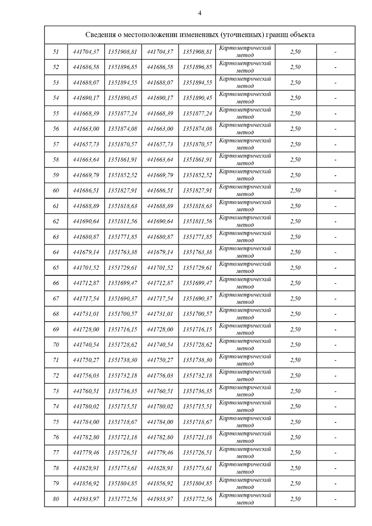
Страница №9 из 10:
Увеличить