Официальное опубликование правовых актов
ОФИЦИАЛЬНОЕ ОПУБЛИКОВАНИЕ
Постановление Главного управления архитектуры и градостроительства Рязанской области от 22.12.2023 № 627-п
"Об утверждении изменений в генеральный план муниципального образования – Сменовское сельское поселение Захаровского муниципального района Рязанской области"
(Зарегистрирован 22.12.2023 № 1431)
Номер опубликования: 6201202312260009
Дата опубликования: 26.12.2023
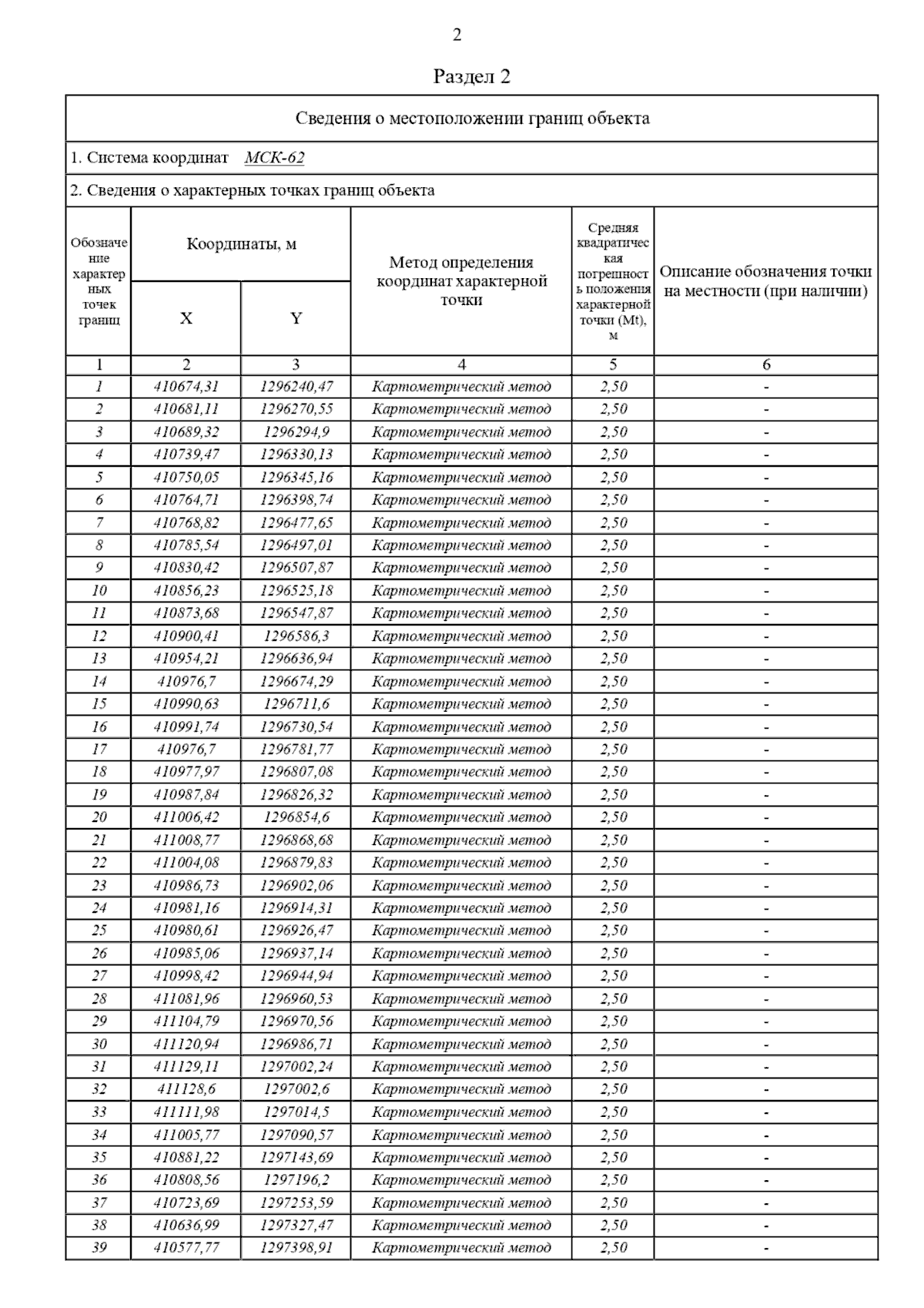
Страница №14 из 17:
Увеличить