Официальное опубликование правовых актов
ОФИЦИАЛЬНОЕ ОПУБЛИКОВАНИЕ
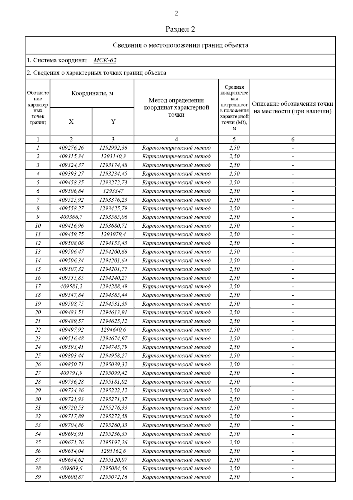
Постановление Главного управления архитектуры и градостроительства Рязанской области от 22.12.2023 № 628-п
"Об утверждении изменений в правила землепользования и застройки муниципального образования – Сменовское сельское поселение Захаровского муниципального района Рязанской области"
(Зарегистрирован 22.12.2023 № 1432)
Номер опубликования: 6201202312260012
Дата опубликования: 26.12.2023
Страница №5 из 17:
Увеличить