Официальное опубликование правовых актов
ОФИЦИАЛЬНОЕ ОПУБЛИКОВАНИЕ
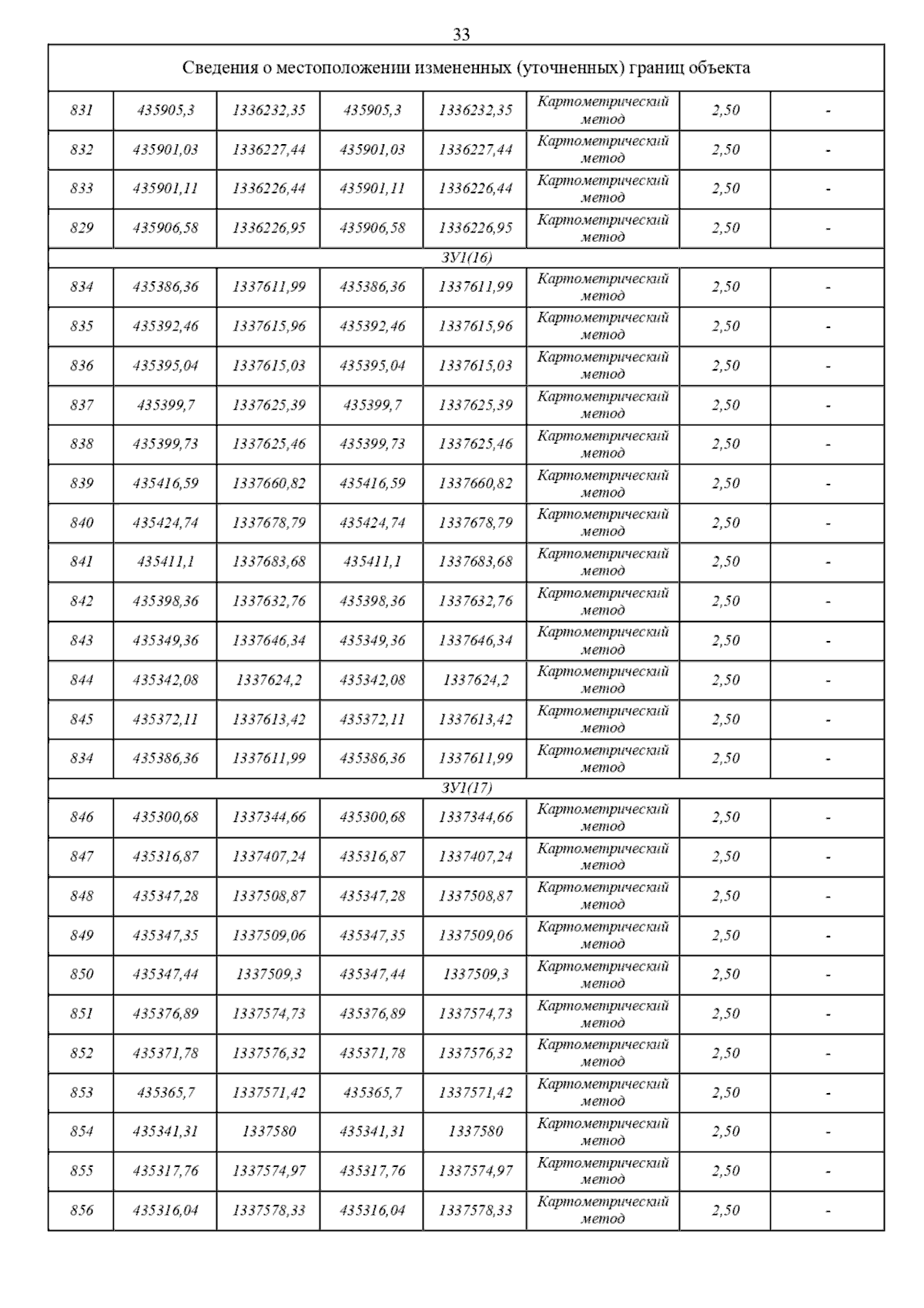
Постановление Главного управления архитектуры и градостроительства Рязанской области от 17.01.2024 № 14-п
"Об утверждении изменений в правила землепользования и застройки муниципального образования – Турлатовское сельское поселение Рязанского муниципального района Рязанской области"
(Зарегистрирован 18.01.2024 № 43)
Номер опубликования: 6201202401230011
Дата опубликования: 23.01.2024
Страница №38 из 53:
Увеличить