Официальное опубликование правовых актов
ОФИЦИАЛЬНОЕ ОПУБЛИКОВАНИЕ
Постановление Главного управления архитектуры и градостроительства Рязанской области от 17.01.2024 № 10-п
"Об утверждении правил землепользования и застройки муниципального образования – Милославское городское поселение Милославского муниципального района Рязанской области"
(Зарегистрирован 18.01.2024 № 39)
Номер опубликования: 6201202401230015
Дата опубликования: 23.01.2024
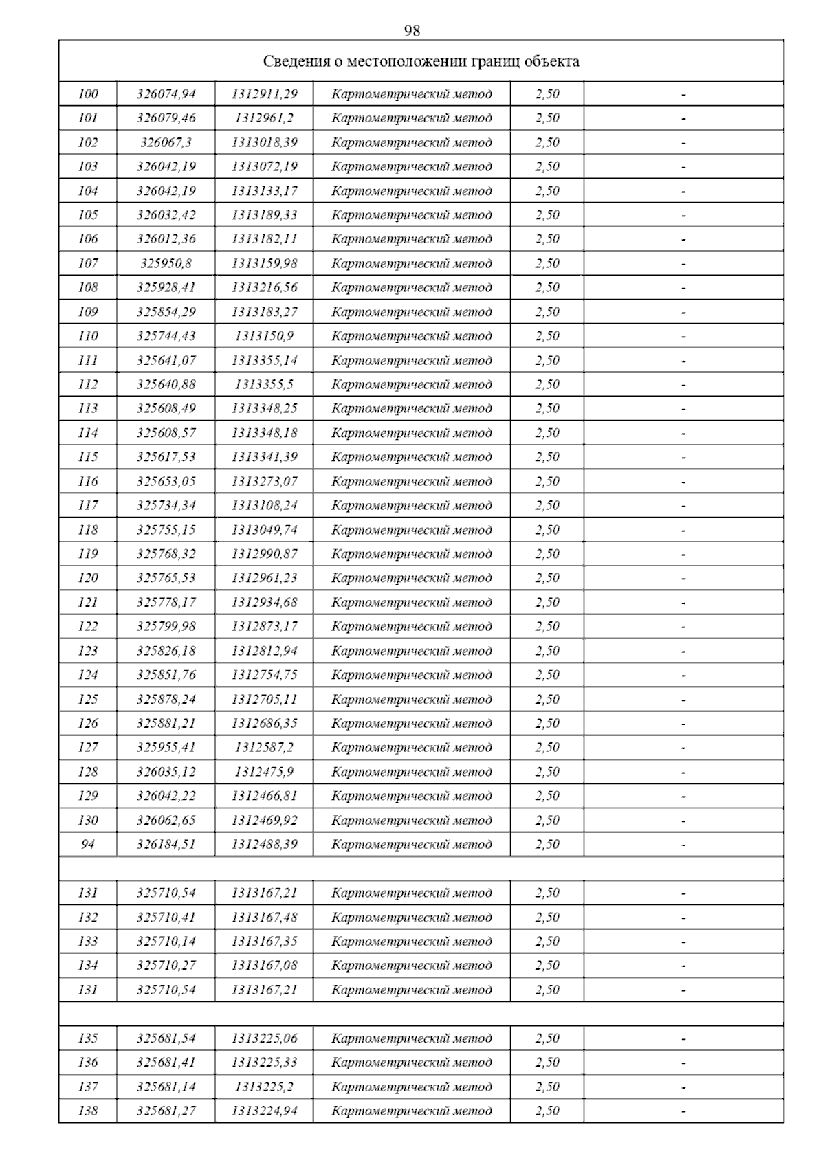
Страница №136 из 244:
Увеличить