Официальное опубликование правовых актов
ОФИЦИАЛЬНОЕ ОПУБЛИКОВАНИЕ
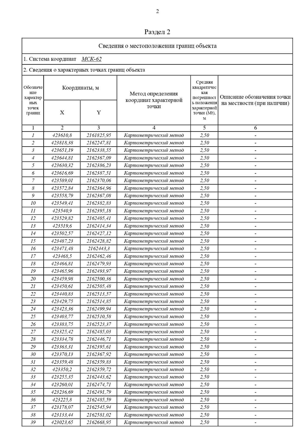
Постановление Главного управления архитектуры и градостроительства Рязанской области от 02.02.2024 № 39-п
"Об утверждении изменений в правила землепользования и застройки муниципального образования – Собчаковское сельское поселение Спасского муниципального района Рязанской области"
(Зарегистрирован 02.02.2024 № 87)
Номер опубликования: 6201202402070009
Дата опубликования: 07.02.2024
Страница №6 из 90:
Увеличить