Официальное опубликование правовых актов
ОФИЦИАЛЬНОЕ ОПУБЛИКОВАНИЕ
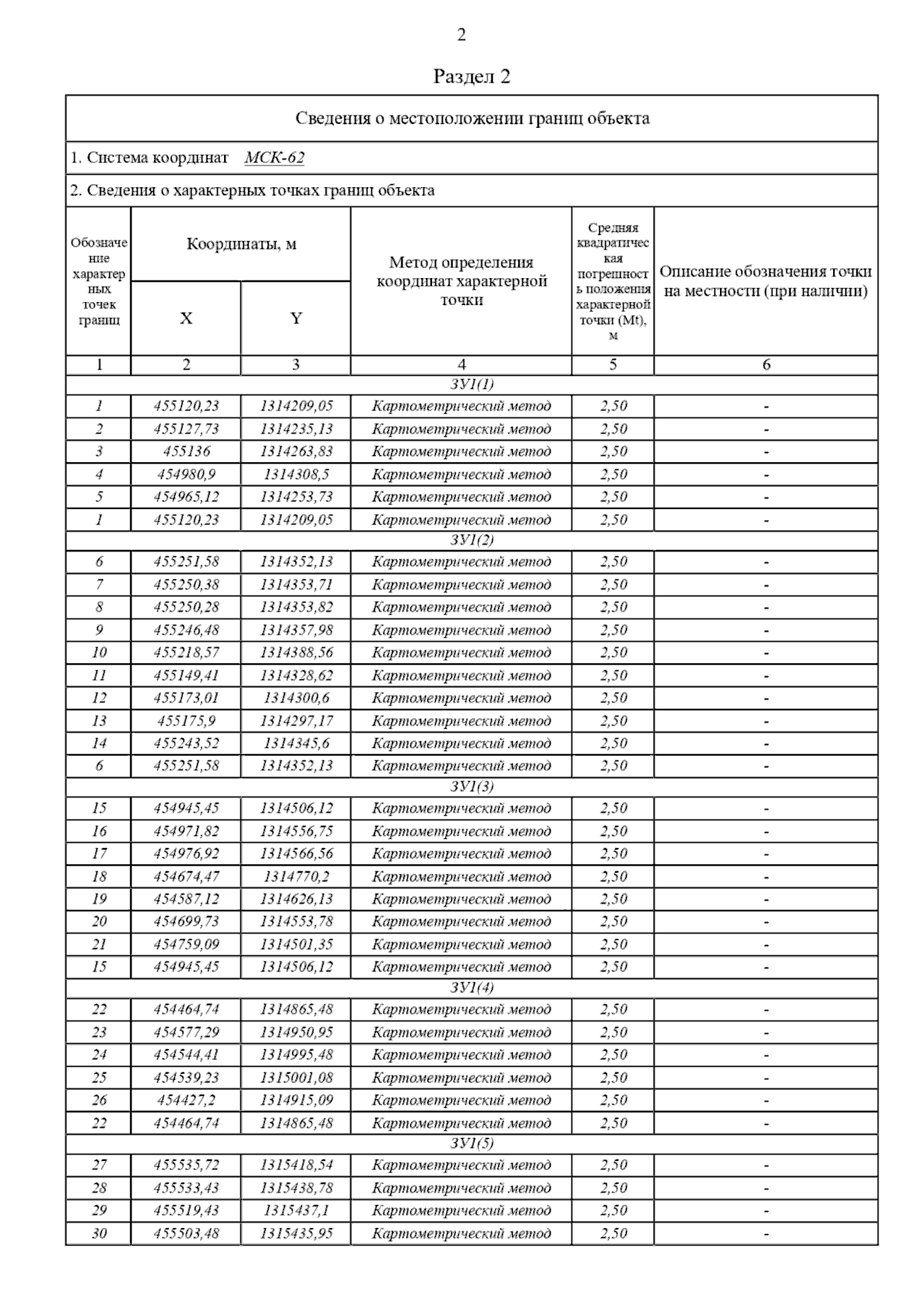
Постановление Главного управления архитектуры и градостроительства Рязанской области от 06.02.2024 № 43-п
"Об утверждении изменений в правила землепользования и застройки муниципального образования – Рыбновское городское поселение Рыбновского муниципального района Рязанской области"
(Зарегистрирован 06.02.2024 № 100)
Номер опубликования: 6201202402090002
Дата опубликования: 09.02.2024
Страница №5 из 57:
Увеличить