Официальное опубликование правовых актов
ОФИЦИАЛЬНОЕ ОПУБЛИКОВАНИЕ
Постановление Главного управления архитектуры и градостроительства Рязанской области от 21.02.2024 № 66-п
"Об утверждении изменений в правила землепользования и застройки муниципального образования – Дубровическое сельское поселение Рязанского муниципального района Рязанской области"
(Зарегистрирован 22.02.2024 № 140)
Номер опубликования: 6201202402260010
Дата опубликования: 26.02.2024
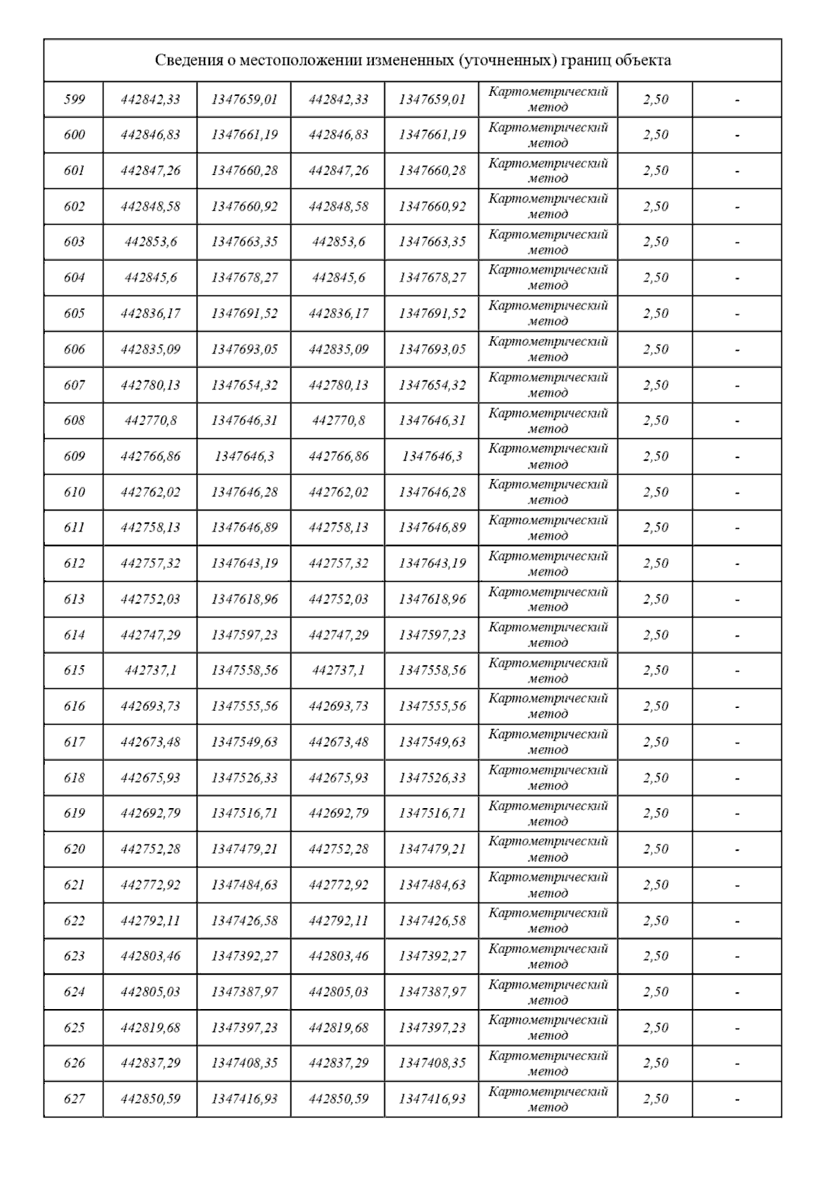
Страница №26 из 32:
Увеличить