Официальное опубликование правовых актов
ОФИЦИАЛЬНОЕ ОПУБЛИКОВАНИЕ
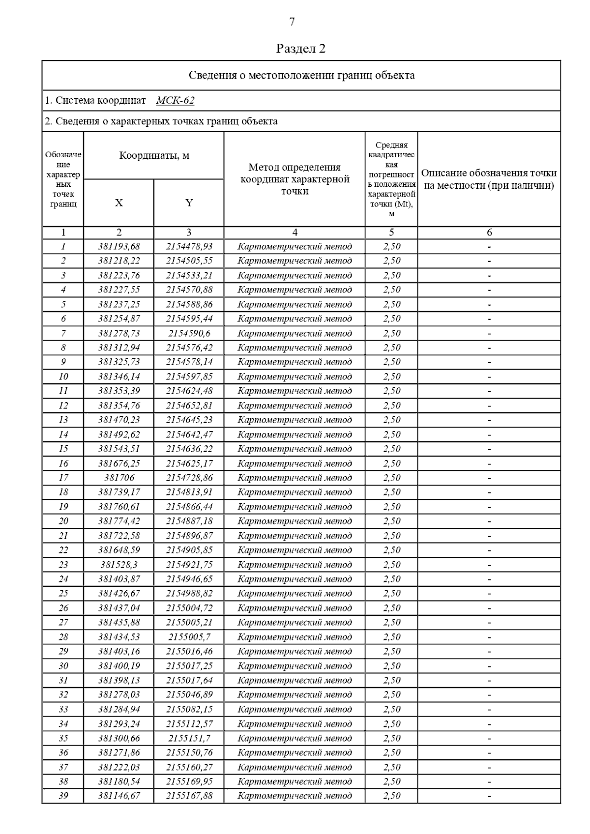
Постановление Главного управления архитектуры и градостроительства Рязанской области от 28.02.2024 № 71-п
"Об утверждении изменений в генеральный план муниципального образования – Незнановское сельское поселение Кораблинского муниципального района Рязанской области"
(Зарегистрирован 28.02.2024 № 159)
Номер опубликования: 6201202403050002
Дата опубликования: 05.03.2024
Страница №19 из 109:
Увеличить